所屬科目:教甄◆物理科專業
(1)此氫氣的總動能為____焦耳
(2)此時氫氣溫度約為______℃
(3)氫氣的分子密度為_____分子/立方公尺。
(1)沿路徑ibf的功W2為何?
(2)若沿曲線返回,路徑fi的功為W3=–26卡,則請問此路徑的熱能Q3為何?
(3)假設i狀態的內能=+20卡,且b狀態的內能=+44卡,過程ib的為何?過程bf的為何?
(1)已知轉動慣量的定義為
∫r2dm
請求出該細桿以圖中P點為轉軸(垂直紙面)時的轉動慣量。
(2)由平行軸定理求出以細桿質心為轉軸(垂直紙面)時的轉動慣量。
(3)求釋放瞬間細桿與地面間的摩擦力量值。
(1)該球由開始運動至純滾動過程,球底點對桌面的相對位移量值為何?
(2)該球由開始運動至純滾動過程,質心位移量值為何?
(3)桌面對球的摩擦力作功為何?請簡要說明摩擦力與位移內積是與第(1)還是(2)的答案做乘積的理由
(1)金屬球表面電位為何?
(2)當測試電荷恰抵達球殼表面時,其動能為何?
(3)測試電荷在運動過程中與球心之最近距離為何?
(1)此珠子所帶電量為何?
(2)若珠子位於環上最低點位置P點時速度量值為√gr、方向向右,則當此珠子由P點沿圓環移動到與環心同高處時,圓環給予珠子的正向力量值為何?
(3)若珠子由P點出發可以完整環繞圓環運動,則珠子在P點時的動能至少應為何?
(1)試問反應時間約為何?
(2)若有駕駛者以車速100公里/時在道路上行駛,突然發現道路前方有障礙物而緊急踩煞車,則汽車所需的安全停車距離約為何?
(1)試問對上面的木板m2必須下壓多大的外力F,以便在外力F撤去時,使上面木板m2上彈時,恰可將下面的木板m1提離桌面?(5分)
(2)承(1),當木板m2在上下振盪的過程中,其速度最大值為何?
九、若將電阻值分別為1Ω、2Ω、3Ω、4Ω、5Ω、6Ω的六個電阻連接成如圖所示的電路。若已測得等效電阻分別為、,試求下圖中a~f六個電阻各自代表的電阻值為何?
十、(1)如下圖所示,長度為L的長直導線中通有電流為i。今在導線旁垂直相距r0有一處P點,其離導線下端與上端至P點的位置向量與電流方向各夾θ1、θ2角(θ1<θ2),試問此處P點磁場感應強度B為何?(提示:真空中的磁導率μ0表示;θ1<θ2;)
(2)若今有一載流的正方形線圈,其邊長為2d、通過電流為i,如下圖所示。試問軸線上距正方形中心O點上方r0處的磁場強度為何?(請以μ0、r0、d、i表示之;)
十一、(1)如圖所示,一遮光板緊靠薄透鏡,板中間有直徑為1.0cm的圓孔,透鏡主軸通過圓孔中心。一點光源置於鏡前10.0cm的主軸上,在透鏡後方10.0cm處的屏幕上形成一直徑3.0cm的亮圓,則凹透鏡的焦距為若干cm?(設透鏡厚度極薄可忽略)
(2)將一凸透鏡從中間分割成兩半,用此透鏡所成的兩點光源實像,可作為干涉實驗產生兩同相光源的一種方法。若透鏡焦距4公分,一點光源距透鏡5公分,兩半透鏡相距0.01cm,若屏幕與透鏡距離220公分,則干涉條紋間距為若干cm?(已知光的波長5000Å,設透鏡厚度極薄可忽略,示意圖未按照實際比例繪製。)
(3)將焦距4cm的凸透鏡與焦距10cm的凹透鏡形成相距15cm的透鏡組。今在凸透鏡左方5cm處的主軸上放置一物體,其射出的光線經透鏡組折射後形成的像位於凹透鏡的左方或右方?與凹透鏡距離若干cm?像的高度為物的幾倍?
十二、(1)如圖,將一束在波長450~650nm範圍內具有均勻強度的光,向下垂直照射到一水平放置的透明薄膜上。薄膜的折射率為1.33,厚度為500nm,寬度為3cm,並懸浮在空氣中。對位於薄膜正上方的觀察者來說,經由薄膜反射後具有最大強度的光,其在真空中的波長應為若干nm?(四捨五入至個位數)
(2)承(1),若使薄膜漂浮於折射率2的透明液體上,則經薄膜反射後具有最大強度的光,其在真空中的波長應為若干nm?(四捨五入至個位數)
(3)承(2),若對薄膜頂部進行精密的切削,使其截面成為左端高度100nm,右端高度500nm的梯形,並改以真空中波長為400nm的光束沿鉛直方向照射薄膜,觀察者將觀測到幾條亮紋?
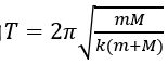
(1)請由質心座標系推導出兩球振動週期。
(2)已知普朗克常數為ℎ,若大球因振動而沿水平面輻射出「一個」光子,則此振動系統的振幅變化量為何?
(3)承(2),已知真空光速為c,則兩球質心在水平面上的速率為何?
(1)電子的軌道半徑公式=?
(2)已知無外加磁場時,電子的軌道半徑為,若將外加磁場調為弱磁場,則此磁場對軌道半徑造入射光薄膜液體入射光薄膜液體成改變的一階修正項為何?