題組內容
四、 有一質量均勻的剛體球質量為 m 半徑為 R,靜置於粗糙桌面上,在某一瞬間受一水平且過質心的衝量
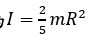
而開始運動,若球與桌面的動摩擦係數為μ,且重力加速度值為g。請回答以下問題:(已知轉軸過 球體質心的轉動慣量為
)
(2)該球由開始運動至純滾動過程,質心位移量值為何?
四、 有一質量均勻的剛體球質量為 m 半徑為 R,靜置於粗糙桌面上,在某一瞬間受一水平且過質心的衝量
而開始運動,若球與桌面的動摩擦係數為μ,且重力加速度值為g。請回答以下問題:(已知轉軸過 球體質心的轉動慣量為
)
(2)該球由開始運動至純滾動過程,質心位移量值為何?