阿摩線上測驗
登入
首頁
>
技檢◆機電整合-乙級
> 114年 - 17000 機電整合 乙級 工作項目 03:氣壓、油壓系統、迴路設計 101-150(2025/12/26 更新)#135796
114年 - 17000 機電整合 乙級 工作項目 03:氣壓、油壓系統、迴路設計 101-150(2025/12/26 更新)#135796
科目:
技檢◆機電整合-乙級 |
年份:
114年 |
選擇題數:
50 |
申論題數:
0
試卷資訊
所屬科目:
技檢◆機電整合-乙級
選擇題 (50)
101. 油壓馬達每轉容量 50 cc/rev、轉速:800 rpm、壓降:80kgf/cm
2
、馬達的機械效率 η
m
=0.92、容積效率η
v
=0.95,馬達實際輸出功率 Pr 約 (A)4.4 (B)4.8 (C)5.2 (D)5.6 kW。
102. 油壓馬達每轉容量 50 cc/rev、轉速:1200 rpm、壓降:120kgf/cm
2
、馬達的機械效率 η
m
=0.95、容積效率 η
v
=0.92,實際輸入馬達流量 Q 約 (A)60.0(B)63.2 (C)65.2 (D)68.6 LPM。
103. 油壓馬達每轉容量 50 cc/rev、轉速:800 rpm、壓降:120kgf/cm2 、馬達的機械效率η
m
=0.92、容積效率 η
v
=0.95,實際輸入馬達流量 Q 約 (A)40.0 (B)42.1 (C)43.5 (D)45.8 LPM。
104. 在真空產生器與真空吸盤之間,裝置過濾器的作用為 (A)防止異物入侵真空產生器 (B)防止真空吸力過大 (C)真空消失時加速物件脫離吸盤 (D)縮短物件被吸盤吸住時間 。
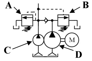
105. 如下圖有一組油壓系統供應泵浦,A 元件是
(A)小流量泵浦 (B)大流量泵浦(C)溢流閥 (D)卸載閥 。
106. 如下圖有一組油壓系統供應泵浦,B 元件是
(A)小流量泵浦 (B)大流量泵浦(C)溢流閥 (D)卸載閥 。
107. 如下圖有一組油壓系統供應泵浦,C 元件是
(A)小流量泵浦 (B)大流量泵浦(C)溢流閥 (D)卸載閥 。
108. 如下圖有一組油壓系統供應泵浦,D 元件是
(A)小流量泵浦 (B)大流量泵浦(C)溢流閥 (D)卸載閥 。
109. 如下圖有一組油壓系統供應泵浦,如小泵浦輸出流量 4 /min、大泵浦輸出流量 24
/min、溢流閥設定壓力 100kgf/cm
2
、卸載閥設定壓力20kgf/cm
2
,用來驅動一支鑽孔油壓缸(ψ63×30×200)使其有一半行程為快速移動、另一半慢速移動,則油壓缸快速移動的流量為
(A)4 (B)24 (C)28(D)32
/min。
110. 如下圖有一組油壓系統供應泵浦,如小泵浦輸出流量 4
/min、大泵浦輸出流量 24
/min、溢流閥設定壓力 100kgf/cm
2
、卸載閥設定壓力20kgf/cm
2
,用來驅動一支鑽孔油壓缸(ψ63×30×200)使其有一半行程為快速移動、另一半慢速移動,則油壓缸慢速移動的流量為
(A)4 (B)24 (C)28(D)32
/min。
111. 如下圖有一組油壓系統供應泵浦,如小泵浦輸出流量 4
/min、大泵浦輸出流量 24
/min、溢流閥設定壓力 100kgf/cm
2
、卸載閥設定壓力20kgf/cm
2
,用來驅動一支鑽孔油壓缸(ψ63×30×200)使其有一半行程為快速移動、另一半慢速移動,則油壓缸快速移動的速度為
(A)1.22 (B)1.28(C)8.54 (D)8.99 m/min。
112. 如下圖有一組油壓系統供應泵浦,如小泵浦輸出流量 4
/min、大泵浦輸出流量 24
/min、溢流閥設定壓力 100kgf/cm
2
、卸載閥設定壓力20kgf/cm
2
,用來驅動一支鑽孔油壓缸(ψ63×30×200)使其有一半行程為快速移動、另一半慢速移動,則油壓缸慢速移動的速度為
(A)1.22 (B)1.28(C)8.54 (D)8.99 m/min。
113. 如下圖有一組油壓系統供應泵浦,如小泵浦輸出流量 4
/min、大泵浦輸出流量 24
/min、溢流閥設定壓力 100kgf/cm
2
、卸載閥設定壓力20kgf/cm
2
,用來驅動一支鑽孔油壓缸(ψ63×30×200)使其有一半行程為快速移動、另一半慢速移動,若油壓缸機械效率(η
m
):0.92、容積效率(η
v
):0.95,則油壓缸快速移動的速度為
(A)1.22 (B)1.28 (C)8.54 (D)8.99m/min。
114. 如下圖有一組油壓系統供應泵浦,如小泵浦輸出流量 4
/min、大泵浦輸出流量 24
/min、溢流閥設定壓力 100kgf/cm
2
、卸載閥設定壓力20kgf/cm
2
,用來驅動一支鑽孔油壓缸(ψ63×30×200)使其有一半行程為快速移動、另一半慢速移動,若油壓缸機械效率(η
m
):0.92、容積效率(η
v
):0.95,則油壓缸慢速移動的速度為
(A)1.22 (B)1.28 (C)8.54 (D)8.99m/min。
115. 如下圖有一組油壓系統供應泵浦,如小泵浦輸出流量 4
/min、大泵浦輸出流量 24
/min、溢流閥設定壓力 100kgf/cm
2
、卸載閥設定壓力20kgf/cm
2
,用來驅動一支鑽孔油壓缸(ψ63×30×200)使其有一半行程為快速移動、另一半慢速移動,若油壓缸機械效率(η
m
):0.92、容積效率( η
v
):0.95、電動機驅動全效率(ηt ):0.85,則驅動系統泵浦之電動機的最大功率需為
(A)0.66 (B)0.77 (C)0.92 (D)1.08 kw。
116. 有一單桿雙動氣壓缸在摩擦係數為 0.2 的水平面移動 50 kgf 的物體,移動的距離為 200 mm,移動時間為 1 秒,1 分鐘做 15 次循環,工作壓力為 6 kgf/cm
2
。若以 20﹪與 80﹪的移動時間做等加速度與等速度(如下圖所示),則等速度為________cm/sec。
(A)22.2 (B)23.5 (C)78.4 (D)111.1
117. 有一單桿雙動氣壓缸在摩擦係數為 0.2 的水平面移動 80 kgf 的物體,移動的距離為 200 mm,移動時間為 1 秒,1 分鐘做 20 次循環,工作壓力為 6kgf/cm
2
。若以 30﹪與 70﹪的移動時間做等加速度與等速度(如下圖所示),則等速度為
(A)22.2 (B)23.5 (C)78.4 (D)111.1 cm/sec。
118. 如下圖所示,有一單桿雙動氣壓缸在摩擦係數為 0.2 的水平面移動 50kgf 的物體,移動的距離為 200 mm,移動時間為 1 秒,1 分鐘做 15 次循環,工作壓力為 6 kgf/cm
2
。若以 20%與 80%的移動時間做等加速度與等速度(如下圖所示),則等加速度為多少 cm/sec
2
?
(A)22.2 (B)23.5 (C)78.4(D)111.1 。
119. 有一單桿雙動氣壓缸在摩擦係數為 0.2 的水平面移動 80 kgf 的物體,移動的距離為 200 mm,移動時間為 1 秒,1 分鐘做 20 次循環,工作壓力為 6 kgf/cm
2
。若以 30%與 70%的移動時間做等加速度與等速度(如下圖所示),則等加速度為
(A)22.2 (B)23.5 (C)78.4 (D)111.1 cm/sec
2
。
120. 有一單桿雙動氣壓缸在摩擦係數為 0.2 的水平面移動 50 kgf 的物體,移動的距離為 200 mm,移動時間為 1 秒,1 分鐘做 15 次循環,工作壓力為 6 kgf/cm
2
。若以 20﹪與 80﹪的移動時間做等加速度與等速度(如下圖所示)。則最大出力應為
(A)15.7 (B)22.4 (C)31.4 (D)37.3 kgf。
121. 有一單桿雙動氣壓缸在摩擦係數為 0.2 的水平面移動 80 kgf 的物體,移動的距離為 200 mm,移動時間為 1 秒,1 分鐘做 20 次循環,工作壓力為 6 kgf/cm
2
。若以 30﹪與 70﹪的移動時間做等加速度與等速度(如下圖所示)。則最大出力應為
(A)15.7 (B)22.4 (C)31.4 (D)37.3 kgf。
122. 有一單桿雙動氣壓缸在摩擦係數為 0.2 的水平面移動 50 kgf 的物體,移動的距離為 200 mm,移動時間為 1 秒,1 分鐘做 15 次循環,工作壓力為 6 kgf/cm
2
。若以 20﹪與 80﹪的移動時間做等加速度與等速度(如下圖所示)。則行程末端物體的衝擊能量應為
(A)12.60 (B)1.23 (C)22.54 (D)2.21N-m。
123. 有一單桿雙動氣壓缸在摩擦係數為 0.2 的水平面移動 80 kgf 的物體,移動的距離為 200 mm,移動時間為 1 秒,1 分鐘做 20 次循環,工作壓力為 6 kgf/cm
2
。若以 30﹪與 70﹪的移動時間做等加速度與等速度(如下圖所示)。則行程末端物體的衝擊能量應為
(A)12.60 (B)1.23 (C)22.54 (D)2.21N-m。
124. 有一單桿雙動氣壓缸在摩擦係數為 0.2 的水平面移動 50 kgf 的物體,移動的距離為 200 mm,移動時間為 1 秒,1 分鐘做 15 次循環,工作壓力為 6 kgf/cm
2
。若以 20﹪與 80﹪的移動時間做等加速度與等速度(如下圖所示)。設負荷率為 50﹪,則氣壓缸出力應為
(A)15.7 (B)22.4 (C)31.4 (D)37.3 kgf。
125. 有一單桿雙動氣壓缸在摩擦係數為 0.2 的水平面移動 80 kgf 的物體,移動的距離為 200 mm,移動時間為 1 秒,1 分鐘做 20 次循環,工作壓力為 6 kgf/cm
2
。若以 30﹪與 70﹪的移動時間做等加速度與等速度(如下圖所示)。設負荷率為 60﹪,則氣壓缸出力應為
(A)15.7 (B)22.4 (C)31.4 (D)37.3 kgf。
126. 有一單桿雙動氣壓缸在摩擦係數為 0.2 的水平面移動 50 kgf 的物體,移動的距離為 200 mm,移動時間為 1 秒,1 分鐘做 15 次循環,工作壓力為 6 kgf/cm
2
。若以 20﹪與 80﹪的移動時間做等加速度與等速度(如下圖所示)。設負荷率為 50﹪,則應選用的氣壓缸活塞直徑為
(A)25 (B)32 (C)40 (D)50 mm。
127. 有一單桿雙動氣壓缸在摩擦係數為 0.2 的水平面移動 80 kgf 的物體,移動的距離為 200 mm,移動時間為 1 秒,1 分鐘做 20 次循環,工作壓力為 6 kgf/cm
2
。若以 30﹪與 70﹪的移動時間做等加速度與等速度(如下圖所示)。設負荷率為 60﹪,活塞桿徑為活塞直徑的 1/3,則應選用的氣壓缸活塞直徑為
(A)25 (B)32 (C)40 (D)50 mm。
128.
下列各氣壓迴路圖,何者可得左圖之訊號 (A)
(B)
(C)
(D)
。
129.
下列各氣壓迴路圖,何者可得左圖之訊號 (A)
(B)
(C)
(D)
。
130.
下列各氣壓迴路圖,何者可得左圖之訊號 (A)
(B)
(C)
(D)
。
131.
下列各氣壓迴路圖,何者可得左圖之訊號(A)
(B)
(C)
(D)
。
132. 為防止氣壓儲氣桶超過限定壓力發生危險情況,一般在上方會加裝一個(A)節流閥 (B)安全閥 (C)止回閥 (D)切斷閥 。
133. 下列各氣壓迴路圖,何者可得與下圖相同功能之迴路
(A)
(B)
(C)
(D)
。
134. 下列各氣壓迴路圖,何者可得與下圖相同功能之迴路
(A)
(B)
(C)
(D)
。
複選題
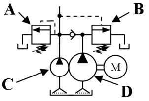
135. 如下圖所示,各閥件之名稱敘述哪些正確?
(A)A 為緊急停止鈕 (B)B 為停止鈕 (C)C 為運轉模式切換鈕 (D)D 為啟動鈕 。
複選題
136. 如下圖所示,各閥件之名稱敘述哪些正確?
(A)A 為運轉模式切換 (B)B 為啟動 (C)C 為緊急停止 (D)D 為停止 鈕。
複選題
137. 如下圖所示,各閥件之名稱敘述哪些正確?
(A)A 為緊急停止鈕 (B)B 為啟動鈕 (C)C 為停止鈕 (D)E 為連續循環保持閥 。
複選題
138. 如下圖所示,各閥件之功能敘述哪些正確?
(A)A 為緊急停止 (B)B 為停止(C)C 為運轉模式切換 (D)D 為啟動 用。
複選題
139. 如圖所示,各閥件之功能敘述哪些正確?
(A)A 為運轉模式切換 (B)B 為啟動 (C)C 為緊急停止 (D)D 為停止 用。
複選題
140. 如圖所示,各閥件之功能敘述哪些正確?
(A)A 為緊急停止用 (B)B 為啟動用 (C)C 為停止用 (D)E 為連續循環保持用 。
複選題
141. 如下圖所示,在按閥件 B 啟動後,若僅切換閥件 C,系統會有下列哪些功能敘述正確?
(A)單一切換至連續模式為動作中無效 (B)連續切換至單一模式為動作中無效 (C)單一切換連續有效、連續切換單一無效 (D)單一切換連續無效、連續切換單一有效 。
複選題
142. 如下圖所示,在按閥件 B 啟動後,若僅切換閥件 C,系統會有下列哪些功能敘述正確?
(A)單一切換至連續模式為動作中有效 (B)連續切換至單一模式為動作中無效 (C)單一切換至連續模式為動作中無效 (D)連續切換至單一模式為動作中有效 。
複選題
143. 如下圖所示,管路阻力忽略不計,在溢流閥設定壓力 50 kgf/cm
2
、額定流量 20 l/min 時,止回閥 A、B 開啟壓力分別為 3、2 kgf/cm
2
,阻尼管C 壓降為 5 kgf/cm
2
,下列敘述哪些正確?
(A)P
1
壓力為 50 (B)P
2
壓力為 7(C)P
1
壓力為 10 (D)P
2
壓力為 5 kgf/cm
2
。
複選題
144. 如下圖所示,管路阻力忽略不計,在溢流閥設定壓力 50 kgf/cm
2
、額定流量 20 l/min 時,止回閥 A、B 開啟壓力分別為 3、2 kgf/cm
2
,阻尼管C 壓降為 5 kgf/cm
2
,下列敘述哪些正確?
(A)P3壓力為 5 (B)P
4
壓力為 0(C)P
3
壓力為 7 (D)P
4
壓力為 5 kgf/cm
2
。
複選題
145. 如下圖所示,管路阻力忽略不計,在溢流閥設定壓力 50 kgf/cm
2
、額定流量 20 l/min 時,止回閥 A、B 開啟壓力分別為 3、2 kgf/cm
2
,阻尼管C 壓降為 5 kgf/cm
2
,若泵浦吐出量不足 20 l/min 但接近時,下列敘述哪些正確?
(A)P
1
壓力接近 10 (B)P
2
壓力接近 5 (C)P
2
壓力接近 7 (D)P
1
壓力接近 50 kgf/cm
2
。
複選題
146. 如下圖所示,管路阻力忽略不計,在溢流閥設定壓力 50 kgf/cm
2
、額定流量 20 l/min 時,止回閥 A、B 開啟壓力分別為 3、2 kgf/cm
2
,阻尼管C 壓降為 5 kgf/cm
2
,若泵浦吐出量不足 20 l/min 但接近時,下列敘述哪些正確?
(A)P
3
壓力接近 7 (B)P
4
壓力接近 5 (C)P
3
壓力接近 5 (D)P
4
壓力為0 kgf/cm
2
。
複選題
147. 如下圖所示,管路阻力忽略不計,在溢流閥設定壓力 50 kgf/cm2 、額定流量 20 l/min 時,止回閥 A、B 開啟壓力分別為 3、2 kgf/cm
2
,阻尼管C 壓降為 5 kgf/cm
2
,下列敘述哪些正確?
(A)P
1
壓力為 50 (B)P
2
壓力為 5(C)P
2
壓力為 7 (D)P
1
壓力為 7 kgf/cm
2
。
複選題
148. 如下圖所示,管路阻力忽略不計,在溢流閥設定壓力 50 kgf/cm
2
、額定流量 20 l/min 時,止回閥 A、B 開啟壓力分別為 3、2 kgf/cm
2
,阻尼管C 壓降為 5 kgf/cm
2
,下列敘述哪些正確?
(A)P
3
壓力為 7 (B)P
3
壓力為 5(C)P
4
壓力為 0 (D)P
4
壓力為 5 kgf/cm
2
。
複選題
149. 如下圖所示,管路阻力忽略不計,在溢流閥設定壓力 50 kgf/cm
2
、額定流量 20 l/min 時,止回閥 A、B 開啟壓力分別為 3、2 kgf/cm
2
,阻尼管C 壓降為 5 kgf/cm
2
,若泵浦吐出量不足 20 l/min 但接近時,下列敘述哪些正確?
(A)P
1
壓力為 7 (B)P
2
壓力為 7 (C)P
1
壓力為 50 (D)P
2
壓力為 5kgf/cm
2
。
複選題
150. 如下圖所示,管路阻力忽略不計,在溢流閥設定壓力 50 kgf/cm
2
、額定流量 20 l/min 時,止回閥 A、B 開啟壓力分別為 3、2 kgf/cm
2
,阻尼管C 壓降為 5 kgf/cm
2
,若泵浦吐出量不足 20 l/min 但接近時,下列敘述哪些正確?
(A)P
3
壓力接近 7 (B)P
3
壓力接近 5 (C)P
4
壓力接近 5 (D)P
4
壓力為0 kgf/cm
2
。
申論題 (0)
相關試卷
114年 - 17000 機電整合 乙級 工作項目 08:維修 1-68(2025/12/26 更新)#135806
114年 · #135806
114年 - 17000 機電整合 乙級 工作項目 07:試車與調整 1-65(2025/12/26 更新)#135805
114年 · #135805
114年 - 17000 機電整合 乙級 工作項目 06:控制器的使用 51-118(2025/12/26 更新)#135804
114年 · #135804
114年 - 17000 機電整合 乙級 工作項目 06:控制器的使用 1-50(2025/12/26 更新)#135803
114年 · #135803
114年 - 17000 機電整合 乙級 工作項目 05:電動機選用 101-141(2025/12/26 更新)#135802
114年 · #135802
114年 - 17000 機電整合 乙級 工作項目 05:電動機選用 51-100(2025/12/26 更新)#135801
114年 · #135801
114年 - 17000 機電整合 乙級 工作項目 05:電動機選用 1-50(2025/12/26 更新)#135800
114年 · #135800
114年 - 17000 機電整合 乙級 工作項目 04:電控、感測、轉換元件認識 51-98(2025/12/26 更新)#135799
114年 · #135799
114年 - 17000 機電整合 乙級 工作項目 04:電控、感測、轉換元件認識 1-50(2025/12/26 更新)#135798
114年 · #135798
114年 - 17000 機電整合 乙級 工作項目 03:氣壓、油壓系統、迴路設計 151-177(2025/12/26 更新)#135797
114年 · #135797