所屬科目:技檢◆機電整合-乙級
(A)90k (B)120k (C)150k (D)180k 。
(A)90k (B)120k (C)150k (D)180
(A) (B) (C) (D)。
(A) (B) (C)(D) 。
(A)(B)(C)(D) 。
(A)150 (B)180(C)210 (D)240 。
(A)150 (B)180 (C)210 (D)240rpm。
(A)2.4 (B)3.2(C)4.0 (D)4.8 。
(A)2.4 (B)3.2 (C)4.0 (D)4.8
(A)40 (B)47(C)50 (D)60 。
(A)300 (B)450 (C)600 (D)1200 。
(A)50000 (B)60000 (C)100000 (D)120000 。
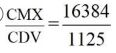
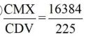
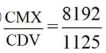
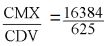
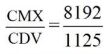
(A)8192/125 (B)16384/125 (C)16384/625 (D)32768/625 。
(A) (B) (C)旋轉盤之轉速 n=50 rpm (D)旋轉盤之轉速 n=30 rpm 。
(A)旋轉盤之轉速 n=50 rpm (B)旋轉盤之轉速 n=30 rpm (C)(D) 。
(A) (B) (C)旋轉盤之轉動圈數為 25 圈 (D)旋轉盤之轉動圈數為 100 圈 。
(A)旋轉盤之轉動圈數為 100 圈 (B)旋轉盤之轉動圈數為 25 圈 (C)(D) 。
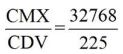
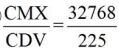
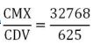
(A)滑台速度 Vc 應為 3.0m/min (B)伺服馬達之控制脈波速率(f) 應為 50000 Hz (C)伺服馬達電子齒輪比(CMX/CDV)應為 16384/625 (D)移動一個滑台移動距離(S)需加給伺服馬達驅動之脈波數量(Ps)應為 60000 。
(A)滑台速度 Vc 應為 3.0m/min (B)伺服馬達之控制轉速應為 480 rpm (C)伺服馬達電子齒輪比(CMX/CDV)應為 16384/625 (D)移動一個滑台移動距離(S)需加給伺服馬達驅動之脈波數量(Ps)應為 120000 。
(A)滑台速度 Vc 應為 3.0 m/min(B)伺服馬達之控制轉速應為 480 rpm (C)伺服馬達電子齒輪比(CMX/CDV)應為 16384/625 (D)需加給伺服馬達驅動之脈波數量(Ps)應為120000 。
(A)滑台速度 Vc 應為 2.4 m/min (B)滑台控制解析度(R)1μm (C)伺服馬達之控制脈波速率(f)應為 40000 Hz (D)移動一個滑台移動距離(S)需加給伺服馬達驅動之脈波數量(Ps)應為 120000 。
(A)滑台速度 Vc 應為 2.4 m/min (B)滑台控制解析度(R)1μm (C)伺服馬達之控制脈波速率(f)應為 80000 Hz (D)移動一個滑台移動距離(S)需加給伺服馬達驅動之脈波數量(Ps)應為 200000 。