所屬科目:高中(學測,指考)◆數學
1. 設f(x)=ax6-bx4+3x- ,其中a, b 為非零實數,則f(5)-f(-5) 之值為 (A) –30 (B) 0 (C) (D) 30 (E) 無法確定(與a, b有關)
3. 設某沙漠地區某一段時間的溫度函數為f(t)=-t2+10t+11 ,其中1≦ t≦10,則這段時間內該地區的最大溫差為 (A) 9 (B) 16 (C) 20 (D) 25 (E) 36
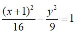
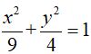
4. 坐標平面上方程式 的圖形與 的圖形共有幾個交點? (A) 1個 (B) 2個 (C) 3個 (D) 4個 (E) 0個
5. 關於坐標平面上函數y=sinx 的圖形和 的圖形之交點個數,下列哪一個選項是正確的? (A) 交點的個數是無窮多 (B) 交點的個數是奇數且大於20 (C) 交點的個數是奇數且小於20 (D) 交點的個數是偶數且大於或等於20 (E) 交點的個數是偶數且小於20
貳、多選題6. 若 ,則下列哪些點會落在圖形 上? (A) 2 (B) -2i (C)1+i (D) 1-i (E) -1+i
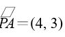
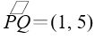
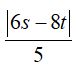
7. 坐標平面上有相異兩點 P、Q ,其中 點坐標為(s,t) 。已知線段 的中垂線L的方程式為3x-4y=0 ,試問下列哪些選項是正確的? (A) 向量與向量(3,-4) 平行 (B) 線段 的長度等於 (C) Q點坐標為(t,s) (D) 過Q 點與直線L 平行之直線必過點(-s,-t) (E) 以O表示原點,則向量與向量的內積必為0
8. 下列哪些選項中的矩陣經過一系列的列運算後可以化成 ? (A) (B) (C) (D) (E)
9. 坐標空間中,在xy 平面上置有三個半徑為1的球兩兩相切,設其球心分別為A,B,C 。今將第四個半徑為1的球置於這三個球的上方,且與這三個球都相切,並保持穩定。設第四個球的球心為 ,試問下列哪些選項是正確的? (A) 點 所在的平面和xy平面平行 (B) 三角形ABC 是一個正三角形 (C) 三角形PAB 有一邊長為 (D) 點P 到直線AB 的距離為 (5) 點P 到xy 平面的距離為
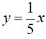
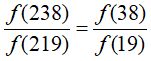
10. 設a為大於1的實數,考慮函數f(x)=ax 與g(x)=logax ,試問下列哪些選項是正確的? (A) 若f(3) = 6,則g(36)=6 (B) (C)g(238)-g(219)=g(38)-g(19) (D) 若P, Q為y=g(x) 的圖形上兩相異點,則直線PQ之斜率必為正數 (E) 若直線y=5x 與y=f(x) 的圖形有兩個交點,則直線 與y=g(x) 的圖形也有兩個交點
11. 設f(x) 為一實係數三次多項式且其最高次項係數為1,已知f(1)=1,f(2)=2,f(5)=5 ,則f(x)=0 在下列哪些區間必定有實根? (A) (–∞ , 0) (B) (0, 1) (C) (1, 2) (D) (2, 5) (E) (5,∞ )
第二部分:選填題12. 設實數x滿足0<x<1 ,且logx4-log2x=1 ,則x= 。(化成最簡分數)
13. 在坐標平面上的△ABC 中,P為 邊之中點,Q在 邊上且 。已知, ,則= ( , )
16. 設P, A, B為坐標平面上以原點為圓心的單位圓上三點,其中P點坐標為(1, 0),A點坐標為,且∠APB 為直角,則B點坐標為 ( , )。(化成最簡分數)
18. 摸彩箱裝有若干編號為1,2,....,10 的彩球,其中各種編號的彩球數目可能不同。今從中隨機摸取一球,依據所取球的號數給予若干報酬。現有甲、乙兩案:甲案為當摸得彩球的號數為k時,其所獲報酬同為k;乙案為當摸得彩球的號數為k時,其所獲報酬為11– k (k=1,2,...,10 )。已知依甲案每摸取一球的期望值為,則依乙案每摸取一球的期望值為 。(化成最簡分數)
19. 坐標平面上有一以點V(0, 3)為頂點、F(0, 6)為焦點的拋物線。設P(a, b)為此拋物線上一點, Q(a, 0)為P在x軸上的投影,滿足∠FPQ=60o ,則b = 。
20. 在△ABC 中,M為 邊之中點,若 ,且∠BAC=120o , 則tan∠BAM = 。(化成最簡根式)