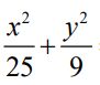
19. 已知橢圓具有下列光學性質:由其中一焦點F發射光線,經過橢圓鏡面一次反射,必然通過另一焦點F'。考慮橢圓
=1與焦點F(c,0)及F'(-c,0),且c>0,當射手小華在焦點F朝橢圓上點A(0,3)發出雷射光,光線直線前進至A點反射後直線前進通過焦點F',然後在橢圓上另一點B反射,光線繼續前進回到F點並且不幸的擊中他自己。試問這束雷射光在這段過程中所走的距離為何?
(A)15
(B)20
(C)25
(D)30
答案:登入後查看
統計: 尚無統計資料
統計: 尚無統計資料