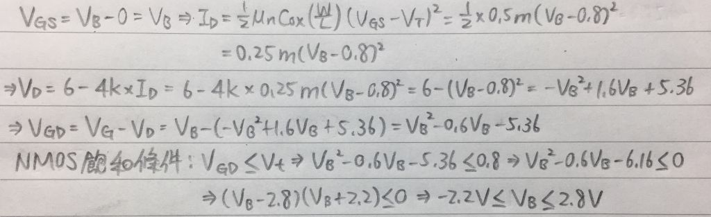
27 圖中電晶體 M1 之 μnCox(W/L)=0.5 mA/V2 ,臨界電壓 VT=0.8 V,若忽略通道調變效應且 M1 維持操作在飽和區(saturation region),則 VB的最大值為何?
(A)1.6 V
(B)2.0 V
(C)2.4 V
(D)2.8 V
答案:登入後查看
統計: A(38), B(18), C(54), D(145), E(0) #1809681
統計: A(38), B(18), C(54), D(145), E(0) #1809681
詳解 (共 4 筆)
#3653043

12
1