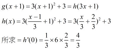
6. 設
,
,若
,則
=
(A)
(B)
(C)
(D)
。
答案:登入後查看
統計: A(1), B(4), C(1), D(7), E(0) #2344592
統計: A(1), B(4), C(1), D(7), E(0) #2344592
詳解 (共 1 筆)
#4064730

0
0