所屬科目:教甄◆數學專業
1. 等差數列前n項和 S n 的最大值為 S 7 ,且 ,則使 Sn >O 的n最大值為(A)12 (B)13 (C)14 (D)15。
3. 設多項式函數 f (x) 的定義域包含區間[ a ,b] ,且在[ a ,b] 內 f (x)≥ 0 恆成立,n 為任意 自然數,將區間[ a ,b] 平分成 n 等分,則 f (x) 在區間[ a ,b] 上的黎曼和。設 y= f(x) 、x 軸、直線 x = a 與 x = b 所圍成區域的面 積為 A,則下列敘述何者錯誤? (A) Rn 是 n 個矩形面積的和 (B)(C)對任意正整數 n 而言, A > Rn (D)若 f ( x) 在區間[ a ,b] 上為遞增,則 R 2<R4 。
4. 如圖,三個兩兩外切的圓,也都與直線相切,最大圓半徑為 100,中圓的半徑為 25, 求最小圓的半徑為何?
(A) (B) (C) (D)
5. 已知k是實數,兩複數,集合 , ,若 AB 是空集合,則k值可能為何? (A) -2 (B) -1 (C)1 (D)2。
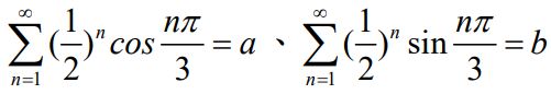
6. 設 , ,若 ,則 = (A) (B) (C)(D) 。
7. 求 與所圍區域的面積為 (A)(B)(C) (D) 。
8. 如圖,長方形 ABCD中, = 2, =1, E 為 的中點, F 為上一點。若 ∠EFC= ∠DCF ,則tan = (∠AFE) ? (A) (B) (C) (D)。
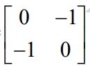
9. 關於二階方陣 A= , B= ,C= ,D= 。請選 出正確的選項。 (A) A91= A 71 (B) B91= B 71 (C) C91 =C71 (D)B5D3= D3B5 。
10. 下列敘述哪些是正確的? (A)以8種不同色之顏料,塗在正四面體(可任意移動, 翻轉)之立體表面,共 420 種塗法 (B)方程式 的整數解共1298組 (C)袋中共有 6 個白球、4 個紅球、3 個黑球,今任取 3 球,恰得兩種顏色球之機率為 (D)從一副52張的撲克牌中任意抽出三張,此三張中至少有兩張字母相同者 (如 KK5,777)之機率為 。
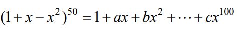
11. 設,則下列選項何者正確? (A) a = -50 (B) b =1175 (C)b = -1225 (D) a+b+c =1226。
12. 設擲某銅板出現正面的機率為 p ,。連續擲此銅板 4 次,若第 k 次出現正面 則得 ,否則得 0,k =1,2,3,4。設總所得的期望值為 a,總所得超過1 3 的機率為 b ,則 (A) a 為 p 的一次多項式 (B)(C)b 為 p 的二次多項式 (D)。
1.解 得 x =_________
2.如圖,△ABC 中,∠ C= 90° 且= = ,已知 ,則 =_______
3.方程式有2相異實根,求m 的範圍_______
4.如圖,四邊形 ABCD 中,= 、 = 、= 6、= ,∠ ABC =90° ,則 =___________
5.若 ,求數對
(a,b)=_____________
6.方程式sin x= 3cos x=k ,在的範圍內,有兩個相異的實數解,求實數 k 的範圍為__________
8.如圖,於△ABC 中,P、Q 為 的三等分點(即 == ),且 D 為的中點,若 與 、 分別相交於 E、F,則=__________
二、計算題(每題 8 分,共 24 分) 1.設方程式之三根為α 、β 、 γ,試求以 、 、 為三根之三次方程 式。
2.將偶數數列 排列為以下陣列,第i列第 j 行為a ij ,例如, a32= 18,試求一般項 αij
3.如圖,有一個底半徑為 5 公分的圓柱體,被一個通過直徑 AB 且與底面夾45° 角的平面所截,試 求所截出的立體體積。