阿摩線上測驗
登入
首頁
>
控制系統
>
98年 - 98 高等考試_二級_電力工程:控制系統#47744
> 申論題
題組內容
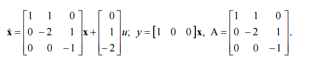
四、考慮系統:
⑴找出 A 的特徵值,且由此決定系統的穩定性。(8 分)
相關申論題
一、如下圖所示為一閉迴路控制系統。 ⑴找出增益 K(K>0)的範圍使得此系統為穩定。(10 分)
#164705
⑵假設增益 K 設定為 20,此外,假設感測器之時間常數為一般值而非給定的 0.1 sec, 感測器的轉移函數為 1/(τs+1),當時間常數τ>0 時,找出能使系統處於穩定狀態 的時間常數允許範圍。(15 分)
#164706
-40 ⑴求出此系統的轉移函數 G(s)。(10 分)
#164707
⑵求出兩個增益交越頻率ωg1以及ωg2。(15 分)
#164708
三、如下圖所示,為一個線性系統的狀態圖,請給予系統的狀態變數值並寫出其動態方 程式。(25 分) 其中 U 為輸入,Y 為輸出, s −1 為積分器。
#164709
⑵找出轉移函數模式,並由此決定系統的穩定性。(8 分)
#164711
⑶這兩個結果相同嗎?如果不是,請說明理由。(9 分)
#164712
(三)試運用奈奎斯特法則(Nyquist stability criterion),判定此系統之穩定度。 (10 分)
#554274
(二)試繪出此系統之奈奎斯特圖(Nyquist plot)。(10 分)
#554273
(一)試繪出此開迴路系統之波德圖(Bode plot)。 (10 分)
#554272
相關試卷
114年 - 114 高等考試_二級_電力工程:控制系統#131606
114年 · #131606
113年 - 113 高等考試_二級_電力工程:控制系統#123078
113年 · #123078
112年 - 112 高等考試_二級_電力工程:控制系統#116766
112年 · #116766
111年 - 111 高等考試_二級_電力工程:控制系統#111038
111年 · #111038
110年 - 110 高等考試_二級_電力工程:控制系統#101931
110年 · #101931
109年 - 109 高等考試_二級_電力工程:控制系統#91548
109年 · #91548
108年 - 108 高等考試_二級_電力工程:控制系統#79579
108年 · #79579
107年 - 107 第十八屆TAIROA社團法人台灣智慧自動化與機器人協會_自動化工程師證照考試_Level 2/機器人中階:控制系統#72749
107年 · #72749
107年 - 107 高等考試_二級_電力工程:控制系統#72396
107年 · #72396
106年 - 106 高等考試_二級_電力工程:控制系統#65249
106年 · #65249