阿摩線上測驗 登入

申論題資訊

試卷:105年 - 中正預校高中部教師甄選物理科#77095
科目:教甄◆物理科專業
年份:105年
排序:0

題組內容

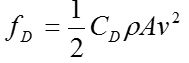
3. 本題為有關高空跳傘的問題。一物體在空氣中運動時,所受到的空氣阻力 可表之為5d0c717c16557.jpg ,式中ρ為空氣密度,υ為物體在空氣中的運動速率,A為物體在垂直於其速度方向上的截面積,而CD為空氣的風阻係數,與物體表面的幾何形狀有關。假設人體的形狀可近似為一個長方體,現有一人的尺度為160cm × 30cm × 10cm,其平均密度為ρm =l.0×103 kg/m3。此人在4000m高度從等速度巡航的飛機上躍下(鉛直方向的初速為零)。本題僅考慮在鉛直方向上的運動,不必考慮水平方向運動的影響,回答下列問題:

申論題內容

(1)此人在鉛直方向上所能達到的最快和最慢速度的比值為何? 。