題組內容
二、偵錯題、說明題:(※請務必寫下原因或說明過程,否則不予計分)
空間中, A點坐標為(-2,8,0) , B 點坐標為(3,1,4), P 點為 y 軸上一點,當
有最小值時, P點坐標為何?
【以下為學生小沂的解法】
因為
,故由算幾不等式可得
等式成立時,
有最小值且發生在
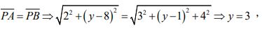
時。因為 P 點為 y 軸上一點,假設 P 點坐標為(0, y, 0) ,
因此, P 點坐標為(0,3, 0)。
二、偵錯題、說明題:(※請務必寫下原因或說明過程,否則不予計分)
空間中, A點坐標為(-2,8,0) , B 點坐標為(3,1,4), P 點為 y 軸上一點,當
有最小值時, P點坐標為何?
【以下為學生小沂的解法】
因為
,故由算幾不等式可得
等式成立時,
有最小值且發生在
時。因為 P 點為 y 軸上一點,假設 P 點坐標為(0, y, 0) ,
因此, P 點坐標為(0,3, 0)。