題組內容
二、考慮四個程序分別具有如下列轉移函數(transfer function)所示之程序動態:
若程序原本處於穩態,在時間 = 0 時給予程序輸入一個單位階梯變化(unit step change),請指出各程序之輸出應答分別對應到圖二所示曲線(a)、(b)、(c)、(d)、(e)之何者?並說明理由。(每小題 5 分,共 20 分)
(一)
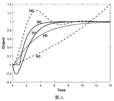
二、考慮四個程序分別具有如下列轉移函數(transfer function)所示之程序動態:
若程序原本處於穩態,在時間 = 0 時給予程序輸入一個單位階梯變化(unit step change),請指出各程序之輸出應答分別對應到圖二所示曲線(a)、(b)、(c)、(d)、(e)之何者?並說明理由。(每小題 5 分,共 20 分)
(一)