題組內容
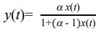
一、考慮在圖一的閃蒸槽(flash drum)。z(t)、x(t)與 y(t)分別為進料(F)、液體(L)物料流、與蒸氣(V)物料流,其揮發性最高物種的莫耳分率。槽中累積的液體與蒸氣的總質量、溫度、與壓力可全部假設為常數不變。若假設離開閃蒸槽的蒸氣與液體已達到平衡,下列 y(t)與 x(t)
間的關係式可建立:

穩定狀態與其他的程序資訊如下:
M = 500 kmoles; F = 10 kmoles/s;
L = 5 kmoles/s; α = 2.5; x (0) = 0.4