阿摩線上測驗
登入
首頁
>
通訊系統
>
102年 - 102年外交領事及外交行政人員、102年民航人員、102年法務部調查局調查人員、102年國家安全局國家安全情報人員、102年經濟部專利商標審查人員考國安情報人員三等_電子組(選試英文)#26081
> 申論題
申論題
試卷:102年 - 102年外交領事及外交行政人員、102年民航人員、102年法務部調查局調查人員、102年國家安全局國家安全情報人員、102年經濟部專利商標審查人員考國安情報人員三等_電子組(選試英文)#26081
科目:通訊系統
年份:102年
排序:0
申論題資訊
試卷:
102年 - 102年外交領事及外交行政人員、102年民航人員、102年法務部調查局調查人員、102年國家安全局國家安全情報人員、102年經濟部專利商標審查人員考國安情報人員三等_電子組(選試英文)#26081
科目:
通訊系統
年份:
102年
排序:
0
題組內容
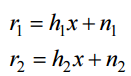
一、假設一無線通訊系統使用 BPSK 調變。接收器使用兩個天線進行接收,其基頻等效 訊號(baseband equivalent signal)可表示為 2
其中 r
1
及 r
2
為接收訊號, x ∈{+1,−1}為傳送訊號, h
1
及 h
2
為複數通道增益(channel gain),n
1
及 n
2
為零平均獨立複數高斯雜訊(zero-mean independent complex Gaussian noises),其實數及虛數變異量(variance)皆為 N0 / 2 。
申論題內容
(二)假設P{x = +1} = P{x = −1} = 0.5,由⑴之結果,求得最佳檢測器之錯誤率。(5 分)