題組內容
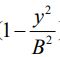
五、如下圖所示,兩平行板間的流速分布為拋物線,即 u ( y ) = U0(
),U0=0.4 m/s ,B=0.5 m,流體運動黏性滯度 U=10-6 m2/s,流體密度ρ=103 kg/m3,試求:(每小題 10 分,共 20 分)

(二)在 y=
之渦度(Vorticity)Ωz
五、如下圖所示,兩平行板間的流速分布為拋物線,即 u ( y ) = U0(
),U0=0.4 m/s ,B=0.5 m,流體運動黏性滯度 U=10-6 m2/s,流體密度ρ=103 kg/m3,試求:(每小題 10 分,共 20 分)

(二)在 y=
之渦度(Vorticity)Ωz