題組內容
1.如【圖 11】所示之電路,試求(請以極座標表示,角度部分請計算至整數位,以下四捨五入): (3 題,每題 5 分,共 15 分)

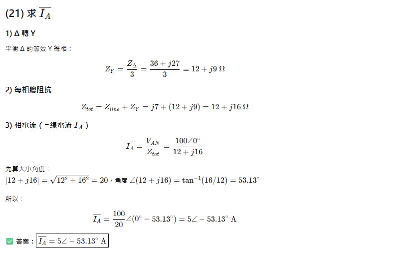
(1)
為多少安培( A )?
詳解 (共 2 筆)
詳解

詳解
