阿摩線上測驗
登入
首頁
>
國營事業◆自動控制
>
108年 - 108年 臺酒 從業及從業評價 自動控制 #74332
> 申論題
題組內容
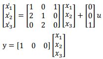
第三題: 試分析判別下列系統動態方程式,是否可控制、可觀察?(需列出分析過程)
(二)
(2)分析判別這系統是否可觀察?【7 分】
詳解 (共 2 筆)
ken liu
詳解 #5947202
2023/10/15
狀態n=3 輸入q=1觀察矩陣RANK...
(共 423 字,隱藏中)
前往觀看
123456789
詳解 #4312757
2020/10/12
(共 1 字,隱藏中)
前往觀看
相關申論題
(一)試繪出訊號流程圖。【10 分】
#301839
(二)試求出轉移函數 Y/X。【15 分】
#301840
(一)雇主應使職業安全衛生人員會同從事勞工健康服務醫護人員,辦理哪些母性健康 保護事項(其他經中央主管機關指定公告者除外)?【9 分】
#301841
(二)事業單位勞工人數在三百人以上者,其勞工於保護期間,從事人力提舉、搬運、 推拉重物等易造成健康危害之工作,雇主應依哪些原則區分風險等級?【6 分】
#301842
(三)風險等級屬第二級或第三級管理者,雇主應分別採取哪些母性健康保護措施?【10 分】
#301843
(一)「勞工總人數」之定義為何?【4 分】
#301844
(二)依此規定,達到僱用從事勞工健康服務醫師之場所規模及其性質分別為何?【3 分】
#301845
(三)符合此規定之事業單位有哪些情形時,其所配置之護理人員,得以特約方式為之? 【12 分】
#301846
(三)符合此規定之事業單位有哪些情形時,其所配置之護理人員,得以特約方式為之? 【12 分】
#301847
(一)職業安全衛生委員會之職責為何?【4 分】
#301848
相關試卷
113年 - 113 臺灣菸酒股份有限公司_從業職員及從業評價職位人員甄試試題_從業評價職位人員_電子電機:自動控制#133996
113年 · #133996
113年 - 113 臺灣菸酒股份有限公司_從業職員及從業評價職位人員甄試試題_電子電機:自動控制#133977
113年 · #133977
113年 - 113 國營臺灣鐵路股份有限公司_從業人員甄試_第 9 階-技術員-電機:自動控制概要#119067
113年 · #119067
112年 - 112 臺灣菸酒股份有限公司_從業職員及從業評價職位人員甄試_從業職員/機械(中區):自動控制#137443
112年 · #137443
112年 - 112 臺灣菸酒股份有限公司_從業職員及從業評價職位人員甄試試題_電子電機:自動控制#137404
112年 · #137404
112年 - 112 臺灣菸酒股份有限公司_從業職員及從業評價職位人員甄試_從業職員/電子電機:自動控制#118449
112年 · #118449
110年 - 110 臺灣菸酒股份有限公司_從業職員及從業評價職位人員甄試試題_從業職員/機械 :自動控制#111385
110年 · #111385
109年 - 109 桃園國際機場股份有限公司_新進從業人員招募甄選_工程-機械-技術員:自動控制#90579
109年 · #90579
109年 - 109 臺灣菸酒股份有限公司_從業職員及從業評價職位人員甄試_從業職員-電子電機、電機工程學程:自動控制#89252
109年 · #89252
109年 - 109 臺灣菸酒股份有限公司_從業職員及從業評價職位人員甄試_從業職員-機械::自動控制#89103
109年 · #89103