阿摩線上測驗
登入
首頁
>
台電◆基本電學
>
99年 - 99 台灣電力公司_養成班及用人當地化甄試:基本電學#99591
> 申論題
題組內容
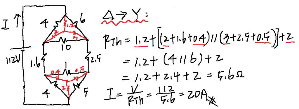
2.試求以下電路之電流值:
(2)如下【圖13】所示,電流I為何?
詳解 (共 3 筆)
Ian Chen
詳解 #5428598
2022/04/24
jackcs0605
詳解 #5439538
2022/05/01
20
(共 4 字,隱藏中)
前往觀看
胡誌傑
詳解 #5433186
2022/04/27
三角換Y型Rth=5.6Ith=112/...
(共 28 字,隱藏中)
前往觀看
私人筆記 (共 3 筆)
【給你考運】勞贖
私人筆記 #3685165
2021/10/31
有幫助請幫我按個讚鼓勵;有錯請不吝指教(...
(共 27 字,隱藏中)
前往觀看
Terry Tung
私人筆記 #4953998
2023/03/17
(共 0 字,隱藏中)
前往觀看
J
私人筆記 #4917372
2023/03/02
(共 0 字,隱藏中)
前往觀看
相關申論題
(1)5Ω電阻之壓降為何?
#416447
(2)電流I為何?
#416448
4.如下【圖15】所示之馬克斯威電橋,若R1=200kΩ ,R2=1kΩ,R3=4kΩ,C1=1000pF,則當電橋平衡時之值分別為何?
#416449
沒有 【段考】國二英文上學期 權限,請先開通.
#416450
沒有 【段考】國二英文上學期 權限,請先開通.
#416451
沒有 【段考】國二英文上學期 權限,請先開通.
#416452
沒有 【段考】國二英文上學期 權限,請先開通.
#416453
沒有 【段考】國二英文上學期 權限,請先開通.
#416454
沒有 【段考】國二英文上學期 權限,請先開通.
#416455
沒有 【段考】國二英文上學期 權限,請先開通.
#416456
相關試卷
115年 - 115 台灣電力公司_新進僱用人員甄試試題:基本電學#139786
115年 · #139786
114年 - 114 台灣電力公司_新進僱用人員甄試試題_專業科目 B:基本電學#127007
114年 · #127007
113年 - 113 台灣電力公司_高職技術類科獎學金甄選:基本電學#129412
113年 · #129412
113年 - 113 台灣電力公司_新進僱用人員甄試試題_專業科目 B:基本電學#119794
113年 · #119794
112年 - 112 台灣電力公司_新進僱用人員甄試:專業科目 B(基本電學)#114251
112年 · #114251
111年 - 111 台灣電力公司_新進僱用人員甄試:專業科目 B(基本電學)#107783
111年 · #107783
110年 - 110 台灣電力公司_新進僱用人員甄試:專業科目 B(基本電學)#98717
110年 · #98717
109年 - 109 台灣電力公司_新進僱用人員甄試:基本電學#86389
109年 · #86389
108年 - 108 台灣電力公司_新進僱用人員甄試:基本電學#78725
108年 · #78725
107年 - 107-12 台灣電力公司_新進僱用人員甄試:基本電學#73747
107年 · #73747