題組內容
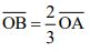
7. 如圖 5 所示,物重為 W,均勻棒
為 W 木 ,若
,若系統處於靜止 狀態,請計算:
(2)若 W=2 公斤重、W 木=4 公斤,重樞鈕與輕棒間的作用力為 多少公斤重?
詳解 (共 1 筆)
香蕉
詳解 #5816266
7. 如圖 5 所示,物重為 W,均勻棒
為 W 木 ,若
,若系統處於靜止 狀態,請計算: