阿摩線上測驗
登入
首頁
>
藥理學與藥物化學
>
113年 - 113 高等考試_三級_藥事:藥理學與藥物化學#121257
> 申論題
題組內容
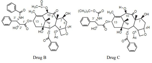
九、請寫出下圖
(2)藥理作用機轉及主 要的抗藥性原因
相關申論題
(一) Clonidine
#516207
(二) Aliskiren
#516208
(三) Furosemide
#516209
(四) Phenytoin
#516210
(五) Methadone
#516211
(六) Methimazole
#516212
(七)Liraglutide
#516213
(八)Ciprofloxacin
#516214
(九)Etoposide
#516215
(十)Cimetidine
#516216
相關試卷
115年 - 115 關務特種考試_三等_藥事(選試英文):藥理學與藥物化學#138922
115年 · #138922
114年 - 114 高等考試_三級_藥事:藥理學與藥物化學#128497
114年 · #128497
114年 - 114 關務特種考試_三等_藥事(選試英文):藥理學與藥物化學#126560
114年 · #126560
113年 - 113 高等考試_三級_藥事:藥理學與藥物化學#121257
113年 · #121257
113年 - 113 關務特種考試_三等_藥事(選試英文):藥理學與藥物化學#119458
113年 · #119458
112年 - 112 公務升官等考試_薦任_藥事:藥理學與藥物化學#117130
112年 · #117130
112年 - 112 高等考試_三級_藥事:藥理學與藥物化學#115547
112年 · #115547
112年 - 112 關務特種考試_三等_藥事:藥理學與藥物化學#113877
112年 · #113877
111年 - 111 高等考試_三級_藥事:藥理學與藥物化學#109661
111年 · #109661
111年 - 111 關務特種考試_三等_藥事:藥理學與藥物化學#107544
111年 · #107544