阿摩線上測驗
登入
首頁
>
通訊系統
>
100年 - 100年民航人員、100年外交領事人員及國際新聞人員、100年法務部調查局調查人員、100年國家安全局國家安全情報人員、100年社會福利工作人員、100年國際經濟商務人員考三等_電子組(選試英文)#27337
> 申論題
題組內容
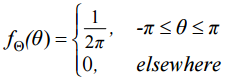
五、已知X(t) = cos(2πf
c
+Θ 其中 f
c
為常數,Θ則為均勻分布於 (−π ,π ) 的隨機變數,換言之
請依序回答以下問題:
⑴計算 X(t) 的自相關函數(autocorrelation function)。(5 分)
相關申論題
⑴請從時域及頻域的角度說明可加性白色高斯雜訊(additive white Gaussian noise, AWGN)的統計特性。(10 分)
#48406
⑵請說明超外差接收機(superheterodyne receiver)中影像頻率(image frequency) 形成的原因及克服的方法。(10 分)
#48407
⑴請說明低通濾波器及重建濾波器的功用。(5 分)
#48408
⑵假設輸入之連續時間訊號 m(t) 之頻譜如圖⑵所示,則最小的取樣頻率(sampling frequency)應為多少才能避免膺頻效應(aliasing effect)?並請依據此取樣頻率 繪製取樣器(sampler)輸出端之取樣訊號頻譜。(5 分)
#48409
⑶ PCM 系統中量化器(quantizer)為何採用非均勻量化器(nonuniform quantizer)? 請說明原因。(5 分)
#48410
⑷請說明再生轉發器(repeater)的功用。(5 分)
#48411
⑴請繪出 1 th )( 及 2 th )( 之脈衝響應(impulse response)。(10 分)
#48412
⑵若輸入(input)訊號為 1 ts )( ,請繪出 output 1 之輸出波形。(10 分)
#48413
⑴計算 v2(t)(8 分)
#48414
⑵什麼條件下 m(t)可以從 v2(t)中擷取出來?(12 分)
#48415
相關試卷
114年 - 114 專技高考_電子工程技師:通訊系統#133705
114年 · #133705
114年 - 114 國家安全情報特種考試_三等_電子組(選試英文):通訊系統#127789
114年 · #127789
113年 - 113 專技高考_電子工程技師:通訊系統#123975
113年 · #123975
112年 - 112 專技高考_電子工程技師:通訊系統#117684
112年 · #117684
112年 - 112 國家安全情報特種考試_三等_電子組(選試英文):通訊系統#114831
112年 · #114831
111年 - 111 專技高考_電子工程技師:通訊系統#111978
111年 · #111978
111年 - 111 警察特種考試_三等_交通警察人員電訊組:通訊系統#108624
111年 · #108624
111年 - 111 國家安全情報特種考試_三等_電子組(選試英文):通訊系統#108610
111年 · #108610
110年 - 110 專技高考_電子工程技師:通訊系統#104217
110年 · #104217
110年 - 110 警察特種考試_三等_交通警察人員電訊組:通訊系統#101674
110年 · #101674