阿摩線上測驗
登入
首頁
>
通訊系統
>
108年 - 108國安三等 - 通訊系統#78526
> 申論題
題組內容
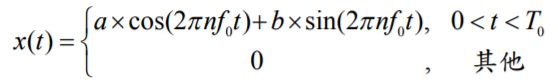
五、令訊號x(t)如下
其中
,n為正整數,a與b為任意實數。
⑵假設n與 f
0
為已知,給定x(t),試求a與b。(10 分)
相關申論題
一、A 為製造半導體之公開發行股票的股份有限公司(下稱 A 公司) ,甲於 民國 104 年起擔任該公司之董事;於 106 年同時為公司之專業經理人, 當時 A 公司董事會以書面決議通過:甲得依「公司委任之總經理及從事 勞動獲致工資之退休金」方式支領退休金,並由董事長乙代表 A 公司與 甲簽約。嗣後當甲於 107 年申請退休並要求公司依約定給付退休金時, A 公司卻以當初所訂定之契約係違反公司法之規定而拒絕之。請附理由 說明:A 公司之主張是否有理?(25 分)
#319672
二、甲於民國 108 年 2 月 10 日,簽發票面金額新臺幣 30 萬元、發票日為 108 年 3 月 10 日、發票地為臺北市、付款人為某銀行臺北市松山分行之無 記名支票一張,並交付給乙,作為向乙購買 A 車之價款。乙將該支票交 給其妻丙保管。事後,甲以 A 車係瑕疵車為由,於同年 3 月 5 日向乙主 張解除買賣契約,並請求返還支票。然乙之妻丙因積欠地下錢莊債款, 竟未經乙同意,於同年 3 月 18 日,將該支票以丙名義背書轉讓給不知 情之丁,以清償其借款。丁嗣後向銀行提示,卻因存款不足而退票。請 附理由說明:丁可否向甲、丙主張票據權利?(25 分)
#319673
三、甲於開車上班途中,與由乙駕駛並闖紅燈之小貨車發生衝撞(乙未投保 第三人責任險) ,甲因而受傷,並支出醫藥費新臺幣(下同)50 萬元, 其中 30 萬元部分由全民健保支付,20 萬元由甲自行負擔;甲之轎車亦 因車禍而花費 20 萬元修車費,因甲有投保車險而由產物保險公司 A 全 額支付。請附理由說明:甲可否再向乙請求賠償醫藥費 50 萬元、精神 上慰撫金 20 萬元以及修車費用 20 萬元?(25 分)
#319674
⑴高雄地院就本件訴訟是否有管轄權?(15 分)
#319675
⑵如高雄地院就本件有管轄權,兩造當事人並同意以我國法為準據法,則 己公司應以甲或乙公司何人之運送契約,向何人請求損害賠償?(5 分) 戊是否應依系爭載貨證券負賠償責任?(5 分)
#319676
(1) 試比較順與反 1-溴-4-三級丁基環己烷的兩個立體異構物,在氫氧化鉀 /乙醇溶液中加熱進行消去反應之速率快慢,並請說明理由。
#319677
(一)
#319678
三、下列為有機化合物之光譜鑑定,請依題示回答。(1) 下列各結構式畫底線所標式的氫原子,在氫核磁共振光譜圖中,化學 位移值(δ)有明顯的差異,請以化合物編號 A~E 依化學位移值(δ), 由大至小排列。(四甲矽烷的化學位移值δ= 0)(5 分)
#319679
(一)
#319680
五、請提供適當的試劑 A 至 E 以完成下列反應流程,有些步驟轉換可能需要 兩個試劑以上,請依序寫出。(15 分)
#319681
相關試卷
114年 - 114 專技高考_電子工程技師:通訊系統#133705
114年 · #133705
114年 - 114 國家安全情報特種考試_三等_電子組(選試英文):通訊系統#127789
114年 · #127789
113年 - 113 專技高考_電子工程技師:通訊系統#123975
113年 · #123975
112年 - 112 專技高考_電子工程技師:通訊系統#117684
112年 · #117684
112年 - 112 國家安全情報特種考試_三等_電子組(選試英文):通訊系統#114831
112年 · #114831
111年 - 111 專技高考_電子工程技師:通訊系統#111978
111年 · #111978
111年 - 111 警察特種考試_三等_交通警察人員電訊組:通訊系統#108624
111年 · #108624
111年 - 111 國家安全情報特種考試_三等_電子組(選試英文):通訊系統#108610
111年 · #108610
110年 - 110 專技高考_電子工程技師:通訊系統#104217
110年 · #104217
110年 - 110 警察特種考試_三等_交通警察人員電訊組:通訊系統#101674
110年 · #101674