題組內容
第一題:
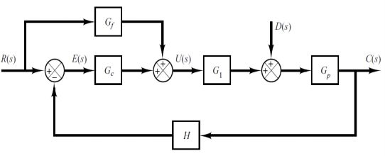
試求出下列系統之轉移函數 C(s)/R(s)與 C(s)/D(s)。【未列出計算過程者,不予計分】
⑵C(s)/R(s)=?【15 分】
詳解 (共 1 筆)
Moika Hong
詳解 #3521107
前進路徑增益: GcG1Gp、GfG1G...
(共 128 字,隱藏中)
前往觀看