題組內容

4.如下【圖 13】所示電路,當 t = 0 時,開關 S 閉合,試問:(共 10 分)

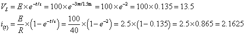
(3)t = 3 ms 時,VL、iL之值為何?(各 2 分)(註:e -1=0.368  、e-2= 0.135 、e-3= 0.05  ) 「請計算至小數點後第三位,以下四捨五入」

詳解 (共 10 筆)

真咸
真咸
詳解 #1710355
2015/07/28
phpkQjC8W
不要放棄
不要放棄
詳解 #3115709
2018/12/15


(共 2 字,隱藏中)
前往觀看
uasaa688
uasaa688
詳解 #1712653
2015/09/01
VL=13.5V IL=2.163A
w6752426
w6752426
詳解 #1708413
2015/07/01
VL=13.5V IL=2.1625A
ehray
ehray
詳解 #1708982
2015/07/08
我算的跟二樓的一樣,不知道有高手可以給我們正解嗎?謝謝瞜
weihouang04
weihouang04
詳解 #1712800
2015/09/02
IL=2.162A VL=13.5V
BINGXUN
BINGXUN
詳解 #3104459
2018/12/07
VL=13.5 IL=2.1625
spin5566
spin5566
詳解 #1714779
2015/09/15
Vl = 13.5 V Il = 2.163 A
張家齊
張家齊
詳解 #3070117
2018/11/13
13.5,2.16
熟能生巧
熟能生巧
詳解 #2332389
2017/07/12
2F為正解!
(共 8 字,隱藏中)
前往觀看

私人筆記 (共 3 筆)

【給你考運】勞贖
【給你考運】勞贖
私人筆記 #3510811
2021/08/25
有幫助請幫我按個讚鼓勵;有錯請不吝指教(...

(共 27 字,隱藏中)
前往觀看
Terry Tung
Terry Tung
私人筆記 #5076515
2023/05/02


(共 0 字,隱藏中)
前往觀看
J
J
私人筆記 #4914034
2023/02/28



(共 0 字,隱藏中)
前往觀看