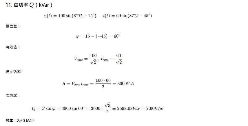
11.某一負載之電壓為v(t)=100
sin (377t + 15°)伏特(V),其電流為i(t)=60
sin (377t - 45°)安培( A ),則該負載消耗之虛功率為_____千乏(kVar)。(計算至小數點後第 2 位,以下四捨五入)
詳解 (共 1 筆)
詳解

11.某一負載之電壓為v(t)=100
sin (377t + 15°)伏特(V),其電流為i(t)=60
sin (377t - 45°)安培( A ),則該負載消耗之虛功率為_____千乏(kVar)。(計算至小數點後第 2 位,以下四捨五入)
