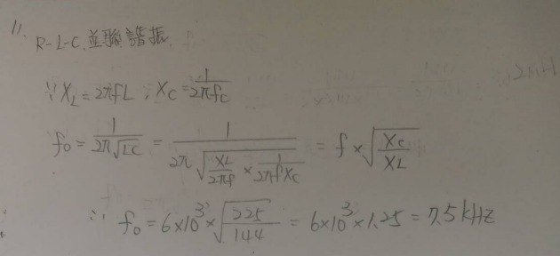
11.某一 R-L-C 並聯電路,當頻率為 6 kHz 時,可求得
= j144 歐姆(Ω),
= -j225 歐姆(Ω),則此電路的諧振頻率 f0 為_____ kHz。
詳解 (共 3 筆)
詳解

詳解

詳解
