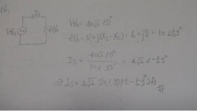
16.如【圖 11】所示,電流
為____安培(A)。(請以瞬間值數學表示式表示;cos 30° = 0.866,
cos 36.9° = 0.6)

詳解 (共 3 筆)
詳解
算出來的答案與台電提供的答案有所不同,大家可以討論一下

詳解

詳解
