題組內容
二、問答與計算題:
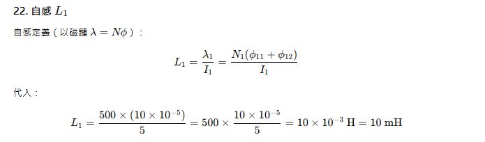
1. 如【圖 12】所示,若 N1 = 500 匝,N2 = 1000 匝,I1 = 5A,
,
試求:
,
試求:
(2) 自感 L1
詳解 (共 1 筆)
詳解

,
試求:
