題組內容
4. 如【圖 15】所示,此交流三相電路為平衡三相,發電機組相序為 ACB,
= 40∠0°,試求:

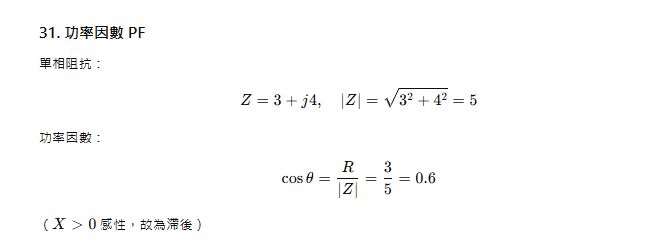
(1) 功率因數(5 分)
詳解 (共 2 筆)
詳解

詳解
