題組內容
3.如【圖 14】所示,試求:

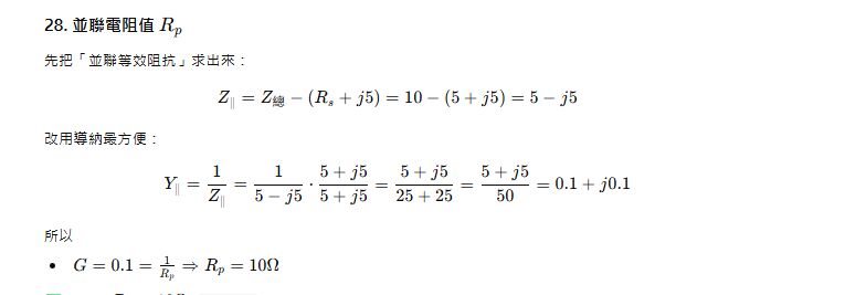
(1) 並聯電阻值 
詳解 (共 2 筆)
詳解

詳解
