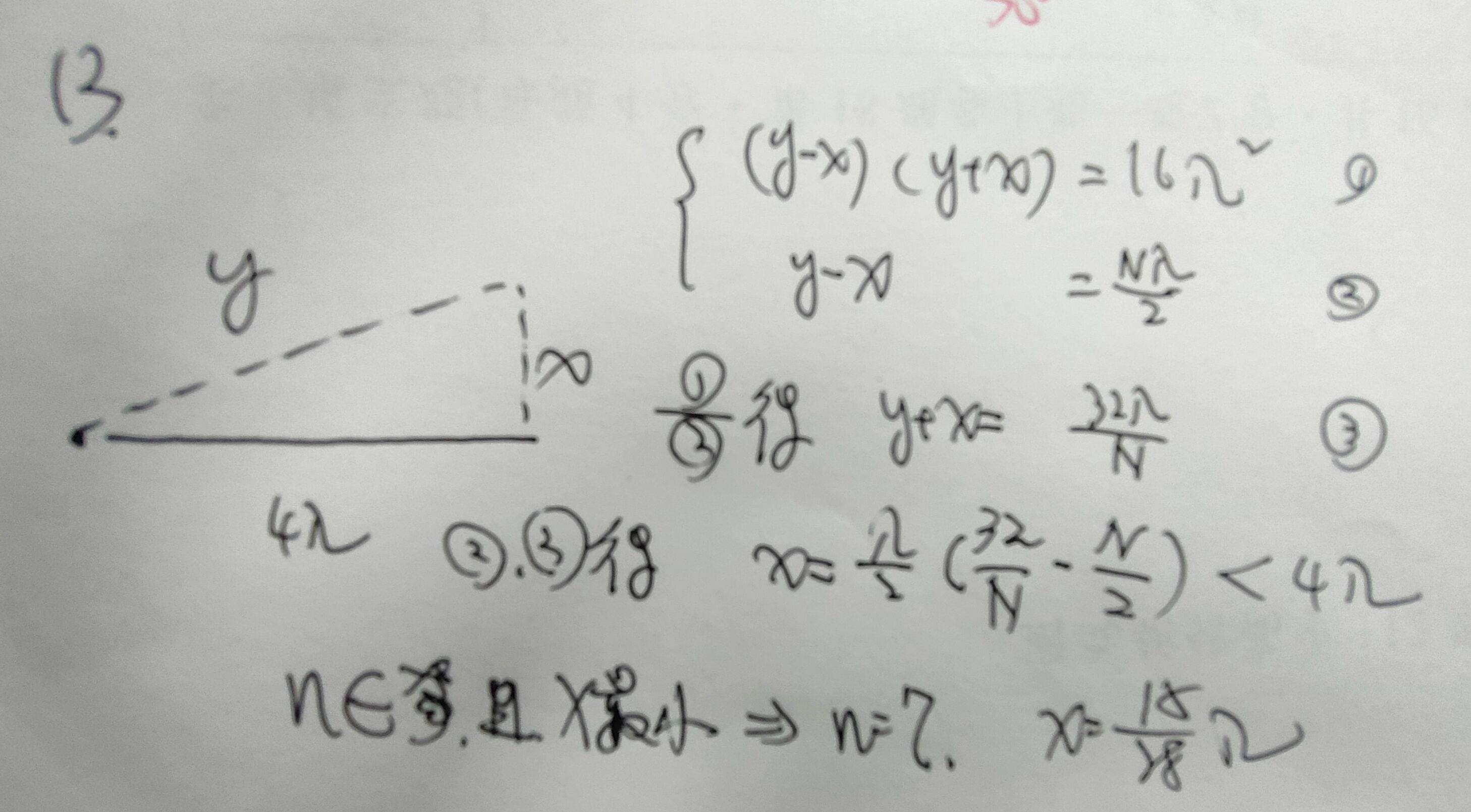
13. 水波槽內有 S1 和 S2兩同相點波源,相距 4λ(λ 為水波波長)。今沿
方向前進第一次遇見節 線的位置離 S2 何?
詳解 (共 1 筆)
詳解

13. 水波槽內有 S1 和 S2兩同相點波源,相距 4λ(λ 為水波波長)。今沿
方向前進第一次遇見節 線的位置離 S2 何?
