阿摩線上測驗
登入
首頁
>
教甄◆數學專業
>
114年 - 114-1 臺北市立松山高級商業家事職業學校_教師甄選題目:數學#138394
> 申論題
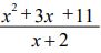
15、設 x > 0,試求 f(x) =
的最小值?
相關申論題
1、求 f(x) = x15 + 3x10 - x5 - 2 除以 x4 - x2 之餘式為?
#566485
2、求= ?
#566486
3、等差數列〈an〉,公差為3,若,求首項?
#566487
4、一級數:1+2+2+3+3+3+4+4+4+4+...+第120項,求此級數的和?
#566488
5、設 x³ + ax² + 2x - 1 與 x³ + bx² + 1 之最高公因式為二次式,試求序對(a,b) = ?
#566489
6、設 k 為實數,方程式 x|x-2| = k 恰有一實數解,則 k 的範圍為?
#566490
7、設 x =,求 x³ - 3x² - 6x + 5 的值為?
#566491
8、函數 f(x) = ||x| - 2| 與直線 y = mx + 5 恰相交於一點,則實數 m 的範圍為?
#566492
9、設 a ≥ 0,b ≥ 0 且 a + b = 1,則 2a + 2b 之最大值為 x,最小值為 y,求 x + y 為?
#566493
10、指數方程式 = 0 有兩相異實根,求 m 的範圍為?
#566494
相關試卷
114年 - 114-1 臺北市立松山高級商業家事職業學校_教師甄選題目:數學#138394
114年 · #138394
114年 - 114 新北市立國民中學_教師聯合甄選試題: 數學科#127346
114年 · #127346
114年 - 114 國立臺灣藝術大學_綜合學科測驗﹕數學#126930
114年 · #126930
114年 - 114 國立彰化高級中學_教師甄選初試試題:數學科#126821
114年 · #126821
114年 - 114 臺北市立陽明高級中學_正式教師甄選試題:高中數學科#126749
114年 · #126749
114年 - 114 國立師大附中_教師甄選︰數學#126229
114年 · #126229
113年 - 113 金門縣國民中學正式教師聯合甄選初試試題:數學#120861
113年 · #120861
113年 - 113 新北市公立高級中等學校教師聯合甄選試題:數學#120730
113年 · #120730
113年 - 113 桃園市國民中學新進教師甄選試題:數學科#120523
113年 · #120523
113年 - 113-1 臺中市立文華高級中等學校_教師甄選專業知能試題:數學科#119606
113年 · #119606