題組內容
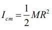
一質量為 M、半徑為 R 的圓柱體,相對於圓柱中心為轉軸的轉動慣量
,以一條質量可不計且力常數為 3.00 N/m 的輕彈簧連結圓柱中 心至一固定牆面,如圖所示。

7.將彈簧從平衡點伸長 0.250 m 時靜止釋放,若 圓柱體在水平面上滾動而無任何滑動,不計任何能量損耗,則整個系統的最大平移動能為_________ J。
一質量為 M、半徑為 R 的圓柱體,相對於圓柱中心為轉軸的轉動慣量
,以一條質量可不計且力常數為 3.00 N/m 的輕彈簧連結圓柱中 心至一固定牆面,如圖所示。

7.將彈簧從平衡點伸長 0.250 m 時靜止釋放,若 圓柱體在水平面上滾動而無任何滑動,不計任何能量損耗,則整個系統的最大平移動能為_________ J。