【已刪除】101年 - 101 臺灣警察專科學校 專科警員班第 31 期正期學生組:乙組數學#8632
試卷資訊
所屬科目:警專◆乙組數學
選擇題 (40)
【已刪除】1. 直線L:ax + by + c = 0,試問下列哪一個條件使L通過第三象限?(A) a = 0,bc < 0 (B) ac < 0,bc < 0 (C) ab < 0,bc > 0 (D) ab > 0,ac < 0
【已刪除】5.設 f(x) = x3 - x2 - 11x - 4,g(x) = x4 + 2x3 + 5x+ 2 的最高公因式為 d(x),最低公倍式為 m(x), 若p(x) f(x) + q(x) ^x) = d(x),試問下列何者正確?(A) deg d(x) = 1 (B) deg m(x) = 5 
,

,
【已刪除】10.試問方程式2πsinx= x的實根個數為下列何者?(A) 0 (B) 1 (C) 3 (D) 5 。
,
,
,
,
的距離依次為x,j,z,試問x: y : z之值為下列何者? (A) sinA : sinB : sinC (B) cosA : cosB : cosC (C) tanA : tmB : tanC (D) cotA : cotB : cotC 。,
的之值經化簡後為下列何者? (A) sinθ (B) cosθ (C) 0 (D) 1 。,
之值為下列何者?(A) 1 (B) - 1 (C) i (D) - i 。,
為實數,試問下列何者為真?(A) L1=L2 (B) L1平行L2 (C) L1,L2 為歪斜線 (D) L1,L2 交於一點。,
。,
,,
,試問(ACPi?的面 積):(△ABR的面積)之值為下列何者?(A) 2 : 1 (B) 3 : 1 (C) 4 : 1 (D) 5 : 1 。,
’ 試問下列何者為真?(A)L與S相切 (B)L與S交於兩點 (C)L與S不相交 (D)L與S交於一線段 。,
,
,
(B)
(C)
(D)
(E)
的圖形共有幾個交點?(A)l 個 (B)2 個 (C)3 個 (D)4 個。,
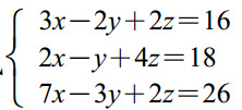
的增廣矩陣
,經列運算簡化為矩陣
試問下列何者為真?(A) α=2 (B)β = 8(C)γ=-1 (D)該方程組無限多組解 。,,,
有x = y= z= 0外的解,試問下列何者恆•真?
Z且f(x) = 0有一根1 +√2 ,則必有一根1 -√2
(E)若a,b,c,d 

。
,標準差Sx=3,中位數Mex = 12,眾數Max = 8,四分位差IQR=3, 若y=-4x+3,試問對新資料y而言,下列哪些正確?
(A)算術平均數=43 (B)標準差= -12 (C)中位數=-45 (D)眾數=-32 (E)四分位差=12 。
