所屬科目:教甄◆數學
3. 在坐標平面上,若以 y 軸為對稱軸,作 的圖形之對稱圖形,則此對稱圖形為下列何者之圖形? (A) (B) (C) (D) y2 = −x
6. 若滿足 ( x − y + 15) 的整數解 ( x, y ) 共有 k 組,則 k = ? (A)4 (B)3 (C)2 (D)1
8. 將 5 個數字 1, 2, 3, 4, 5 全取排成一列作成一個五位數,試求此五位數大於 45000 的機率為何? (A) (B) (C) (D)
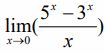
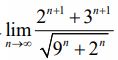
9. 試求極限=? (A) 1 (B) 2 (C) ln 5 − ln 3 (D)不存在
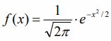
10. 給定函數 , 試求其圖形的反曲點(points of inflection)發生在何處? (A)當 x = 0 時 (B)當 x = 1 或 x = −1 時 (C)當 x = 2 或 x = −2 時 (D)以上皆非
11. 平面上給定兩函數 f ( x) = x 3與 g ( x) = , 試求其圖形所圍成的區域之面積為多少平方單位? (A) 1 (B) 1.5 (C) 2 (D) 3
12. 設 R 表示由 y = x − x 2與 y = 0 在第一象限所圍成的區域,今若 R 繞著鉛直線 x = 2 旋轉一圈,求旋轉體(solid of revolution)之體積為多少 立方單位? (A) (B) (C)π (D) 2π
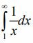
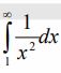
13. 判斷下列各積分何者收斂(converges)?(A) (B) (C) (D)
14. 曲線在 t = 0 與 t = π 間之弧長(arc length)為何? (A) (B) 2π 單位 (C) 單位 (D) π 單位
15. 若均為空間向量,則與下列何者相等? (A) (B) (C) (D)
16. 求空間中兩平行直線 間之距離為何? (A) (B) (C) (D)
19. 某場選舉中,已知沒有廢票,且有效票為 800000 張,若候選人 A 的得票率為 4 成,則從有效票中抽樣 600 張,恰有 200 張是投票給 A 的機率為何? (A) (B) (C) (D)
20. 設,則 Z + Z2 + Z3 + ⋅ ⋅ ⋅ += (A) (B) (C) (D)
23. 若圖形 A 先經過之變換而得到圖形 B,則下列哪一個二階方陣可使 B 變換為 A? (A) (B)(C) (D)
24. 三條射線 兩兩互相垂直,且交於原點 O,若 A, B, C 三點分別在 上,且= 3 。設 P 表示為通過 A, B, C 三點之平面,則原點到平面 P 的距離為何? (A) (B) (C) (D) 1
25. 下列敘述何者正確? (A)設 < a n > 為無窮數列,並且對每一個自然數 n 都有,則 (B)設 < a n > , < bn > 為兩無窮數列,若 (C)設 < a n > , < bn > 為兩收斂數列,且 ,若對每一個自然數 n 都有 a n < bn ,則 α < β (D)設 < a n > 為一數列,則
27. 下列各式何者錯誤? (A) (B) (C) (D)
29. 若,則下列何者為其解集合? (A) (B) (C)(D) 。
30. 下列敘述何者正確? (A)若(B)若 x→a 均不存在,則也不存在 (C)若 為一定數,且 (D) 存在
31. 下列敘述何者錯誤? (A)設 a > 0 , n 為一正整數,則 x n = a 恰有一個正實根 (B)每一個實係數 n ( n ≥ 1 )次方程式至少有一個複數根 (C)設 f ( x ) = 0 為一實係數方程式,若 也為其一根,其中 a, b, c 均為有理數 (D)若 f ( x ) 為一實係數 n 次多項式且 z 為一複數,則。
32. 下列各條件中,何者可決定唯一的圓? (A)通過點( −1 , 0),(3, 2) (B)通過三點(1, 1),(2, 3),( −1 , −3 ) (C)通過(1, 2)且與 x 軸、 y 軸均相切 (D)通過四點( , 0),(1, 1),(0, − ),( −1 , 1)
33. 已知甲說實話的機率為 ,乙說實話的機率為 ,今有一袋內裝著 3 個白球,7 個黑球,自袋中任取一球,甲乙均說是白球,則此球確為白球之機率為多少? (A) (B) (C) (D)
34. 若 x 為實數,則函數的最大值為何? (A) (B) (C) (D) 2
35. 設 n 為正整數,則滿足 為整數的所有可能 n 值的個數為何? (A) 8 (B) 11 (C) 13 (D) 16
36. 已知 = ? (A) −1 (B) −i (C) 1 (D) i
37. 已知圓 C : x2 + y2 + 4 x − 6 y + 11 = 0 與直線 L : x + y − 2 = 0 交於 A, B 兩點,則 =? (A) (B) (C) (D)
39. 已知 α = 20°, β = 25° ,則 (1 + tan α )(1 + tan β ) 之值為何? (A) (B) 2 (C) (D) 2(tan α + tan β )
40. 下列無窮級數中,何者是收斂級數? (A) (B) (C) (D)
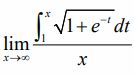
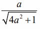
41. 求 =?(A) 1 (B) 2 (C) 3 (D)不存在
42. ΔABC 中,若 ∠A = 30°, ∠B = 45° ,且 = ? (A) (B) (C) (D)
43. ΔABC 中,若 ∠C = 30° , = 4 ,則 ∠B 的度數為幾度? (A) 60° (B) 75° (C) 105° (D) 120°
45. 已知一數列 {an } 滿足 a1 = 1 , a2 = 3 ,且, n ≥ 2 ,則此數列自第 1 項至第 2011 項的和為多少? (A) 0 (B) 1 (C) 2 (D) 5
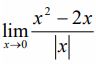
46. 計算=? (A) 0 (B) 1 (C) 2 (D) 不存在
47. 已知一函數 f 的定義域為所有正整數,若 f (1) = 2011, 且對任意正整數 n > 1 ,滿足條件 f (1) + f (2) + ⋅⋅⋅ + f (n) = n 2 f (n) ,則 f (2011) = ? (A) (B) (C) (D) 1
48. 直角三角形 ABC 中, ∠C = 90° ,點 D 為 的中點,且過 D 作 的中垂線於 E 點,若 =? (A) (B) (C) (D)
49. 已知一連續實值函數 f ( x ) 滿足條件:對所有實數 x , f (2 x) = 3 f ( x) ,若 ,則=? (A) 6 (B) 5 (C) 4 (D) 3
50. 已知 ΔABC 的外接圓之面積為 4π ,且 a, b, c 分別為 ΔABC 的三個頂點 A, B, C 所對應的邊長。如果 a 2 + b 2 = c 2 , 且 sin A 與 sin B 正好是一 元二次方程式 (m + 5) x 2 − (2m − 5) x + 12 = 0 的兩個實根(其中 m > 0 ),則 a + b 的值為何? (A) 5 (B) (C) 6 (D)