阿摩線上測驗
登入
首頁
>
應用數學(包括微積分、微分方程與向量分析)
> 100年 - 100 高等考試_三級_氣象:應用數學(包括微積分、微分方程與向量分析)#26921
100年 - 100 高等考試_三級_氣象:應用數學(包括微積分、微分方程與向量分析)#26921
科目:
應用數學(包括微積分、微分方程與向量分析) |
年份:
100年 |
選擇題數:
0 |
申論題數:
7
試卷資訊
所屬科目:
應用數學(包括微積分、微分方程與向量分析)
選擇題 (0)
申論題 (7)
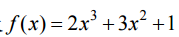
【已刪除】一、設函數
。求
f
(x) 之極值(extrema)與反曲點(inflection point), 並畫其圖形。(10 分)
【已刪除】二、求從 x = 0到 x = 3,介於兩拋物線
之間所圍有限區域的面積。 (15 分)
【已刪除】三、以 Lagrange multipliers,求函數
限制在條件 x +y + z =1的極值。 (15 分)
【已刪除】四、設極坐標曲線方程式
r =1 + cos
θ
。求曲線在點
的切線方程式。 (15 分)
【已刪除】五、設
。求解微分方程式
,滿足初始條件
。 (15 分)
【已刪除】六、設
。求
的級數解(series solution)。(15 分)
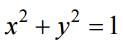
【已刪除】七、求線積分(line integral)
,並驗證 Green’s theorem,此 處 C 為單位圓
。(15 分)
相關試卷
114年 - 114 公務升官等考試_薦任_天文:應用數學(包括微積分、微分方程、向量分析)#133249
114年 · #133249
114年 - 114 高等考試_三級_天文:應用數學(包括微積分、微分方程與向量分析)#128455
114年 · #128455
113年 - 113 高等考試_三級_天文:應用數學(包括微積分、微分方程與向量分析)#121525
113年 · #121525
112年 - 112 高等考試_三級_天文、氣象:應用數學(包括微積分、微分方程與向量分析)#115744
112年 · #115744
111年 - 111 高等考試_二級_氣象:應用數學(包括微積分、微分方程、初步複變函數與向量分析)#111014
111年 · #111014
111年 - 111 高等考試_三級_天文、氣象:應用數學(包括微積分、微分方程與向量分析)#109450
111年 · #109450
110年 - 110 高等考試_三級_氣象:應用數學(包括微積分、微分方程與向量分析)#102743
110年 · #102743
109年 - 109 高等考試_三級_氣象:應用數學(包括微積分、微分方程與向量分析)#88983
109年 · #88983
108年 - 108 地方政府特種考試_三等_天文:應用數學(包括微積分、微分方程與向量分析)#81251
108年 · #81251
108年 - 108 公務升官等考試_薦任_天文:應用數學(包括微積分、微分方程、向量分析)#80516
108年 · #80516