所屬科目:應用數學(包括微積分、微分方程與向量分析)
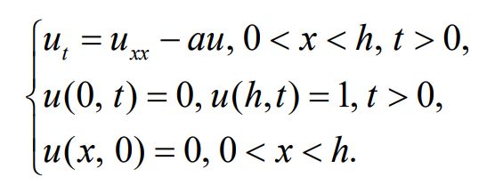
二、利用分離變數法求解以下熱方程的初始及邊界值問題: 此時 a 為一個正數。(提示:設解u(x,t) = v(x,t) +φ(x),利用φ 來處理非 零邊界條件。不需要算出傅立葉級數的係數,只要寫出積分公式即可。) (25 分)
四、求 y = y(x)滿足試問這樣的 y(x)是不是唯一的?(20 分)