所屬科目:應用數學(包括微積分、微分方程與向量分析)
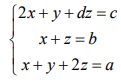
一、求 a、b、c 和 d 的條件使得下列線性方程組(一)有唯一解,(二)有無窮多解, (三)無解。(20 分)
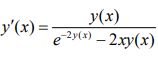
二、求解微分方程式 的非零通解。(20 分)
三、設為 三 維 向 量 場 , 計 算 下 列 含 梯 度 和 旋 度 的 數 學 式 ,並化至最簡式。(20 分)
五、求帕松(Poisson)偏微分方程△u(r,θ)= 的所有徑向(radial)解u(r) ,其中 c>0 為常數, (r ,θ ) 為極坐標, 。(20 分)