所屬科目:應用數學(包括微積分、微分方程與向量分析)
二、試求下列微分方程的解y(x):。
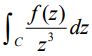
三、令C是正向單位圓|z|=1。考慮解析函數。試求路徑積分。(25分)
四、令力場F3yi-2xj,其中i與j分別為座標(x,y)平面上的單位向量。若 C為以原點為圓心的單位圓,試計算以力場F推動一粒子沿著圓C正位 向繞一圈所做的功。(25分)