所屬科目:應用數學(包括微積分、微分方程與向量分析)
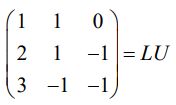
一、將下列矩陣分解成上三角矩陣 L 和下三角矩陣 U 的乘積,其中 L 的對角線都是 1。(20 分)
二、求常微分方程式 y’’’(x)+ y’’(x)+ y’(x)+ y(x) =的通解,以實數函數表示。(20 分)
三、設曲線 C 為兩曲面 x2 + 2y2 + 2z2 = 20 與 x2 + y2 + z = 4 之交線,求 C 上一 點(0,1,3) 之切線。 (20 分)
四、使用重積分計算單位球的表面積。(20 分)
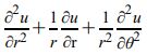
五、使用分離變數法求第一象限上偏微分方程= 0 的通解u(r ,θ ),其中(r ,θ )為極座標,邊界條件u(r ,0 )=u(r,π/2) = 0。(20 分) 提示:u(r ,θ )在原點要有定義。