所屬科目:應用數學(包括微積分、微分方程與向量分析)
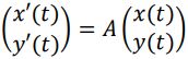
(一)求 P 使得 = D,其中D為一對角矩陣(diagonal matrix) 。
(二)求的一般解(general solutions),並證明此一般解滿足= 0。
(一) grad f= ∇f(x,y,z),方向導數。
(二)。
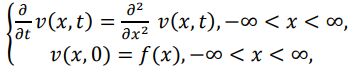
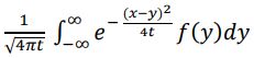
五、利用函數u (x,t)對的傅立葉轉換(Fourier transform),證明u(x,y) =, 是下述熱傳導方程的解:, 其中函數f(x)滿足。(20 分)