所屬科目:應用數學(包括微積分、微分方程與向量分析)
一、請 解 下 列 的 初 始 值 問 題 ( Please solve the following initial value problem) 。(20 分)
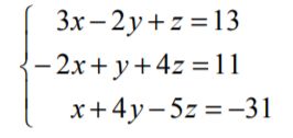
三、請解下列的線性系統(Please solve the following linear system) 。(20 分)
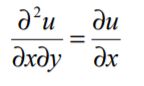
四、請解下列的偏微分方程式。 (20 分)
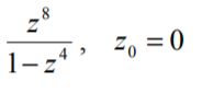
五、請解出下列函數以 z0 為中心的所有的泰勒級數和羅蘭級數並決定其收斂 半徑(Please find all Taylor and Laurent series with center z0 of the following functions and determine their associated radius of convergence)。 (20 分)