所屬科目:應用數學(包括微積分、微分方程與向量分析)
1. 設a和b為實數,試求下列對稱矩陣為正定(positive definite)的充分必要條件,並證明其結果。
3. 設及為三維向量場,證明下列散度、旋度公式。
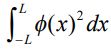
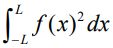
(二)設為(一)中之傅立葉基底函數, 為何?
(三)使用(一)計算。
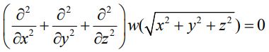
5. 求下列偏微分方程的通解w。