所屬科目:應用數學(包括微積分、微分方程與向量分析)
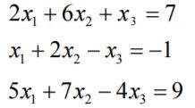
一、解下列三元一次方程式。(10 分)
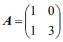
二、計算矩陣 之特徵值(eigenvalues)和特徵向量(eigenvectors)。 (10 分)
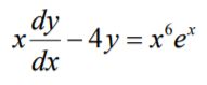
三、解下列微分方程式。(10 分)
四、解下列微分方程式。(10 分)
五、假設向量函數(vector function)為 ,找 出函數 f 滿足F = ∇f 。(20 分)
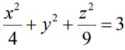
六、在橢球 上(−2,1, − 3)處,求其切平面(tangent plane)方 程式和法線(normal line)方程式。(20 分)
七、假設 ℒ 為拉普拉斯變換(Laplace transformation),計算。 (20 分)