所屬科目:教甄◆數學專業
3. 函數 的最小值為何? (A) 4 log 2(B) 5 log 2(C) 6 log 2(D) 7 log 2
5. 下列哪一組數可以形成銳角三角形的三邊長? (A) (B)(C) log 2, 1+ log2 , 2+ log2 (D)
6. 化簡 之值為何? (A) 4023 (B) 4013 (C) 3023 (D) 2013
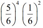
7. 以下 19 個數的乘積,可以化成哪一個分 數? (A) (B) (C) (D)
8. 若 = = ? (A) 39 (B) 3 8 (C)3 6 (D)35
9. 無窮級數 之和為何? (A) (B) (C) (D)
10. 若 a, b ,c, d 為等差數列,且 x, y, z ,w 滿足,則 aw +bz +cy +dx = ? (A) 140 (B) 150 (C) 160 (D) 170
11. 若一無窮等比級數之和為 28 ,其各項平方和為 112 ,則此級數的公比為何? (A) (B) (C) (D)
12.的最小值為何? (A) 3 (B) (C) (D) 6
14. 若 可以化成下列哪一個數? (A) (B) (C)(D)
15. 若聯立方程式 有解,則 k 之值為何? (A) 13 (B) 11 (C) -5 (D) -17
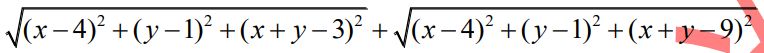
16. 空間中兩平行直線 的距離為何? (A) (B) (C) 14 (D)
18. 方陣 的三個特徵根之和為何? (A) 5 (B) 3 (C) -5 (D) -3
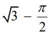
21. 平面上有三個半徑都是 1 的圓,若兩兩外切,則夾在它們之間的區域面積為何? (A) (B) (C) (D)
23. 若 △ABC 的三高分別為,則 △ABC 的面積為何? (A) (B) 2 (C) 3 (D)
26. 若大小兩個三角形的三邊長乘積之比值為 ,且它們的外接圓面積的比值為 ,則此大三角形與小三角形 的面積之比值為何? (A) (B) (C) (D)
27. 設 △ABC 中, 。若點 P 是△ABC 內部一點,點 P 滿足至三邊的距離 x , y , z之平方和x2+y2+z2 最小,則 x: y: z 為何? (A) 3: 4 : 2 (B) 9: 16: 4 (C) 4 : 3 : 6 (D) 6: 7: 5
28. 若連續投擲一公正的骰子,則投擲到第六次時,點數 6 才出現第二次的機率為何? (A) (B)(C) (D)
29. 某國家的法庭設有陪審團制度。假設被選中參加一項刑案審判的陪審團,不論被告有罪或無罪,都有 96% 的機 會做出正確的判決,又當地警方執法嚴謹,在接受法庭審判的被告當中有 98% 是真正有罪的。若已知陪審團判某 被告無罪,則該名被告真的無罪的機率為何? (A) (B) (C) (D)
30. 將四個不同的球,全部任意放入三個相異的籃子裡,則恰有一個籃子沒有球的機率為何? (A) (B) (C) (D)
31. 設 A 與 B 為獨立事件, B' 為 B 的餘事件。若機率? (A) 0 7. (B) 0 6. (C) 0 5. (D) 0 4.
33. 同時投擲三粒公正的骰子,其點數和為 13 的機率為何? (A) (B) (C) (D)
34. 若< an> 為等比數列,滿足=? (A) 32 (B) 36 (C) 43 (D) 49
35. 重積分= (A) (B) (C) (D)
36. 極限 ? (A) 0 (B) 1 (C) 2 (D) 不存在
37. 若函數 f 的導函數為 ? (A) 8 (B) 9 (C) 10 (D) 11
38. 設 f (x)=(3x-2) (ax2+bx+c) 是三次多項式函數,其中 a, b, c , 為實數。已知函數 y =f( x) 在 -3<x<1 的範圍內之函數圖形如下圖所示: 試問下列哪一個選項是不正確 的? (A)b2-4ac>0 (B) a-b+c> 0 (C) 3c-2b>0 (D) 當 a<0 時, f (x)=0 恰有一正根與二負根
40. 若f (x)=x5ln(4-x ),則定積分 (A) - ln 3 (B) ln3 (C) 2ln3 (D) 3ln3