101年 - 101 大學入學考試中心_學科能力測驗:數學#11136
試卷資訊
所屬科目:高中(學測,指考)◆數學
選擇題 (33)
3. 下表為常用對數表
的一部分:
請問
最接近下列哪一個選項?
(A) 101(B)201 (C)1007 (D)1076 (E)2012
的一部分:| N | 0 | 1 | 2 | 3 | 4 | 5 | 6 | 7 | 8 | 9 |
| 10 | 0000 | 0043 | 0086 | 0128 | 0170 | 0212 | 0253 | 0294 | 0334 | 0374 |
| 11 | 0414 | 0453 | 0492 | 0531 | 0569 | 0607 | 0645 | 0682 | 0719 | 0755 |
|
| ||||||||||
| 20 | 3010 | 3032 | 3054 | 3075 | 3096 | 3118 | 3139 | 3160 | 3181 | 3201 |
|
| ||||||||||
| 30 | 4771 | 4786 | 4800 | 4814 | 4829 | 4843 | 4857 | 4871 | 4886 | 4900 |
最接近下列哪一個選項?
(A) 101(B)201 (C)1007 (D)1076 (E)2012
等於下列哪一個選項?
(A) 1.01(B)1.05 (C)1.1 (D)1.15 (E)1.21
(A) 75平方公分
(B) 90平方公分
(C) 110平方公分
(D) 130平方公分
(E) 150平方公分

(A) 依此方法可能連成的三角形一共有8個
(B) 這些可能連成的三角形中,恰有2個是銳角三角形
(C) 這些可能連成的三角形中,恰有3個是直角三角形
(D) 這些可能連成的三角形中,恰有3個是鈍角三角形
(E) 這些可能連成的三角形中,恰有1個是正三角形
(B)zw (C) (zw)2 (D)
(E)
(其中
為 w 的共軛複數)
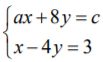
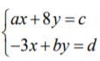
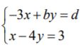
有解,且聯立方程組
無解,則下列哪些選項一定正確?(A)a ≠ -2 (B)c = -6 (C)b = 12 (D)d ≠ -9 (E)聯立方程組
無解
。若 θ 的終邊上有一點 P ,其 y 坐標為 -4,則下列哪些選項一定正確?(A)P 的 x 坐標是6 (B)
(C)
(D)sin 2θ > 0 (E)
。設 d 為一實數,令 Γ 表示平面上滿足
的所有 P 點所成的圖形,又令 C 為平面上以 F1為圓心、6 為半徑的圓。請問下列哪些選項是正確的?(A)當d = 0 時,Γ 為直線 (B)當d =1時,Γ 為雙曲線 (C)當d = 2 時,Γ 與圓C 交於兩點 (D)當d = 4 時,Γ 與圓C 交於四點 (E)當d = 8時,Γ 不存在
