所屬科目:教甄◆物理科專業
2. 一塊厚度均勻的直角三角板 ABC,重量為 G。如果將它懸 掛在直角頂點 C,要使斜邊水平必須在 60o 角的頂點 A 掛一 重物 P。則 P 的重量為何?
3. 質量分別為 3m、m 的兩木塊 A、B,以質量與摩擦皆很小(可忽略不計) 的滑輪與細繩連接起來,如圖所示,請求出物體 B 的加速度(重力加速 度 g 表示)
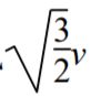
4. 如圖所示,一長度為 L、質量可以忽略的細桿,其中心點 O 固定, 細桿可自由繞 O 點無摩擦地旋轉,兩端各連結質量為 m 與 2m 的 小球 A、B;一開始細桿與鉛垂方向的夾角為 0 o,並呈靜止狀態, 今有一質量亦為 m 的子彈以速度 v 自右方水平射入 B 小球後,則 小球射入後瞬間的速率為何?
5. 如圖所示,一質量 m 的太空船,以 v 的速度繞 地球做半徑 r 的等速圓周運動。若欲改變其繞 行軌道,可令太空船上的火箭推進器,沿軌道 切線方向相後噴射一極短暫時間,使太空船的 速率變成 ,試求此次噴氣後,該太空船飛 行路徑與地心最遠的距離應為若干?
7. 在鋪設鐵路時,估計當地的氣溫變化在-5 ℃ 到+45℃ 之間。為了預防鐵軌上的鋼 條熱脹冷縮,在接縫處留下縫隙(鋼材的線膨脹係數α為 12×10-6 /℃),為了減少行駛 時的噪音,希望縫隙最大不超過 4 公分。為了安全、希望縫隙不得少於 1 公分。那 麼,每段的鋼條最長不得超過多少公尺(以 20℃ 時的長度表示)
8. 在一密閉的氣缸內充有一莫耳的單原子理想氣體,氣 缸可導熱,氣體在起始時的壓力、體積、和溫度分別 為 Pa、Va 和 400K。參考右圖,理想氣體常數 R=8.314 J/K,Vb=2Va,若氣體以等體積過程,使其壓力緩慢 地從 Pa降至 Pb,則氣體需吸收或放出多少熱量(J)?
9. 一條被拉緊成直線的長繩,其線密度(即每單位繩長的質量)為 2.0×10-1 kg/m。若在此 繩上有一繩波,以 u=5.0m/s 的波速,沿 x 軸向右傳播,在某一時刻時,繩波的形狀 如圖中的粗黑實線所示。若繩子受到的重力可以忽略,則當波動傳遞時,每秒沿 x 方向傳遞的動能約為多少焦耳?
10. 一單色光射入折射率為 之玻璃圓球(如圖),若入射角為θ=45o, 則經兩次折射,一次反射後,其偏向角為何?
13. 兩電池的電動勢分別為 ε 1 和 ε 2,內電阻為 r1 和 r2,與一外電阻 R 連結如右圖,試求通過 R 的電流大小為何?
14. 一帶電粒子以電位差 V 加速,使其由 A 點垂直射入左 半邊的均勻磁場中,其迴旋半徑為 R,然後每半圈會經 過一無磁場的溝隙,均受到相同的電位差 V 加速,如 此帶電粒子速率逐漸增加,如圖,若粒子運動至 F 點 時,與 A 點相距為何?
15. 一橫置之日字型電路,七段導線長度都是ℓ且電阻皆為R, 以等速度 v 由磁場為零的空間進入一均勻分佈的磁場中 (如圖所示)。以電路進入磁場起計算時間,當 0<t<ℓ/v, 則導線 ab 間感應電流(應電流)I 的大小為何?
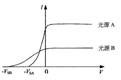
16. 以兩種不同之單色光源 A、B 照射於同一光電 管表面,其金屬功函數為 2.0eV,所得之光電 流 I 對電位差 V 關係圖如圖所示,其中 A 的截 止電壓為 1.0 伏特、B 的截止電壓為 2.0 伏特, A、B 的飽和電流之比為 2:1。若每一個入射 光子皆可在金屬表面打出一個光電子,則入射 光源 A、B 的強度比為何?
17. 一雙原子氣體分子是由兩個質量m的原子相距d並互繞其 軸所組成,如圖所示。假設其總角動量和波耳原子一樣是 量子化。以量子數 n 表示可能的量子化的轉動動能?
2. 如圖所示,一個質量為 m 的陀螺正在旋轉,陀螺支撐點與 陀螺重心距離為 r,陀螺的傾角為 θ,如圖所示。已知陀螺 自轉角動量量值為 L,重力場為 g,則陀螺進動的角速度量 值 Ω 為何?
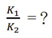
3. 如圖所示,一個大圓盤上方放置另一個半徑為 r、質量為 m 的均質小圓盤,小圓盤 以其圓心(O點)為軸固定於大圓盤之上,已知小圓盤圓心與大圓盤圓心(A點)相距5r。 起初,大小圓盤皆保持靜止,當大圓盤繞 A 點開始加速轉動,至角速度為 ω 後,保 持等速轉動。考慮以下兩種狀況: 狀況一:若小圓盤可繞軸(O 點)自由轉動(大小圓盤間摩擦力不計),此時小圓盤的 動能為 K1。 狀況二:若小圓盤不可繞軸(O 點)轉動(大小圓盤間不可相對滑動),此時小圓盤的 動能為 K2。 則
8. 有一個玻璃圓柱放置於水平桌面,如圖所示,已知圓柱半徑為 r,折射率為 n。若將 一道平行桌面的光束(光束直徑<< r),沿直徑入射玻璃圓柱,光束穿透玻璃圓柱後會 聚於一點,則該點與圓柱中心相距為多少?
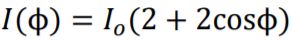
9. 在雙狹縫實驗中,若兩狹縫寬度為 1:1,則屏幕上的亮紋強度分布如圖所示,其強度為,其中Io為一常數,ϕ是雙狹縫到屏幕上的相位差。