所屬科目:教甄◆數學專業
1. 設 ABCDEF 是等角六邊形,若 = 2 , = 4, = 3 , = 4 ,則六邊形 ABCDEF 的面積為多少? (A) 12 (B)16 (C) (D) 16
2. 方程式,其中 [a] 是小於或等於 a 的最大整數,則方程式最大的根為何? (A) (B) (C) (D)
3. 如圖, 在四面體 A- BCD 中, = = 4, = 2 , 若 E 為上的一點使得 =1:3 , 則 = ?(A) (B) (C) (D)
4. 在 這 1000個整數中,與250 的最大公因數為10 的數有幾個?(A)81 (B)82 (C)83 (D)84 (E)以上皆非
6. 多項式的乘積展開式中, 項的係數為何? (A)128 (B)136 (C)148 (D)156
7. 從 1,2,3,... ,n 這 n 個正整數中任取相異的兩數相乘,可得到 個乘積,若這些乘積的算數平均數為 35, 則 n 之值為何? (A)9 (B)10 (C)11 (D)12
8. 若實數 滿足 ,則 的最小值為何? (A) (B) (C) (D)
9. 若n 為正整數,使得 也是正整數,則m 的最大值為何? (A)5 (B)241 (C)563 (D)961
10. 已知 △ABC 的頂點坐標 滿足 ,則此種三角形的面積最大值為何? (A)6 (B)7 (C)8 (D)9 (E)以上皆非
11. 一群相異整數的「差積」是指所有較大數減較小數的差之乘積,例如: 1,3,5,6 的差積為 。若任意 k 個相異整數的「差積」都是121 的倍數,則 k 的最小值是多少? (A)11 (B)12 (C)13 (D)14
12.方程式 有幾個實根?(A)3 (B)2 (C)1 (D)0
15. 如果 m 個人共同完成一項工作需 n 天,現在有 m + p 個人共同去作這項工作,需要幾天可以完成?(A) m + p (B) n - p (C) (D)
19.設P(a,b)為正方形ABCD內部一點,=2,則正方形ABCD的面積為多少? (A)3 (B)4 (C)5 (D)6
20. 已知三角形 ABC, = 2 = 3 且 則 = ?(A) (B) (C) (D)
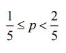
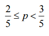
21. 甲、乙、丙三箱中都裝有藍色的球與紅色的球,甲箱中有 3 顆藍球、2 顆紅球,乙箱中有 2 顆藍球、2 顆紅 球,丙箱中有 1 顆藍球、5 顆紅球。今從三箱中各取一球,若至少取得 2 顆紅球的機率為 p,則下列何者正 確?(A) (B) (C) (D)
22. 設 a, b, c 為正數且它們兩兩互質。若 ,則 ?(A)8 (B)7 (C)6 (D)5
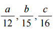
24. 已知三個正整數 a , b , c 的最小公倍數為 1800 ,且都是最簡分數,則 a +b+ c 的最大值為何?(A)79 (B)121 (C)179 (D)258
25. 若A,B,C 是某一正n 邊形的三個頂點,且△ABC 的三內角分別為 , 則 的最小可能值為何? (A)16 (B)18 (C)20 (D)22
28. 已知方程式恰有一實數解 ,則下列何者正確?(A) (B) (C) (D)
29. 函數,求 (x + 2) 除 f (x +1) 的餘式為何?(A)125 (B)25 (C)5 (D)1
31. 設直線 L1 : 3x + 4y + 6 = 0 與直線 L2 : 3x + 4y +1 = 0 為二平行線,則二平行線各取一點之最短距離為何?(A) (B) (C)1 (D)
32. 的值為何? (A)3 (B)5 (C) log2 6 (D) log2 9
33. 在坐標平面上,直線 y = 分別與 y = x 2 交於 A1、A2,與 y = 2x 2 交於 B1、B2,與 y = x 2 交於 C1、C2,與 y = x 2 交於 D1、D2,請問下列哪一個線段最長?(A) (B) (C) (D)
35. 已知 a 為實數,若 為一元二次方程式 x 2 + ax + 6 = 0 的一個根,請問此方程式的另一個根是多少? (A) (B) (C) (D)
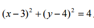
38. 給定點 A(1,0), B(-1,0) 及圓上的一點 P,若 + 之最大值為 a,最小值為 b,則 a + b = ? (A)130 (B)120 (C)110 (D)100
39. 設 α, β 為方程式之兩根,則 =?(A)9 (B)8 (C)7 (D)6
40. 今有鳧起南海,七日至北海;鴈起北海,九日至南海。今鳧鴈俱起。問何日相逢?(A) (B) (C) (D)