所屬科目:教甄◆數學專業
3. 一模型公司在一個內部邊長為 2 單位的透明正立方體箱子內放置一顆半徑為 1 單位的黃球,然後又在箱子的八個角落再塞入 8 顆半徑相同的小紅球,如下圖所示: 試求:小紅球的最大半徑為_______ 單位
4. 設 a、b 為正整數,若 a 20 為 31 位數,( ) 20 自小數點以下 25 位才不為 0,則 (ab) 5 是_______ 位數
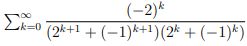
9. 級數 之和為有理數,此有理數最簡分數為_________ 。
二、 計算證明題:30%,每題 15 分。
1. 將長 = 240,寬 = 288 的長方形紙張對摺,讓頂點 C 剛好落在線段 的 中點 M 上,如下圖所示:
若 是摺線,則摺線 的長度為多少?